【药物名称】S-37435
化学结构式(Chemical Structure):
参考文献No.39633
标题:Bicycle amine derivs.
作者:Salmon, R.; Sunley, R.L.; Godfrey, C.R.A.; Urch, C.J.; Lewis, T.; Bishop, N.D. (AstraZeneca plc)
来源:US 5912254; US 6066646
合成路线图解说明:

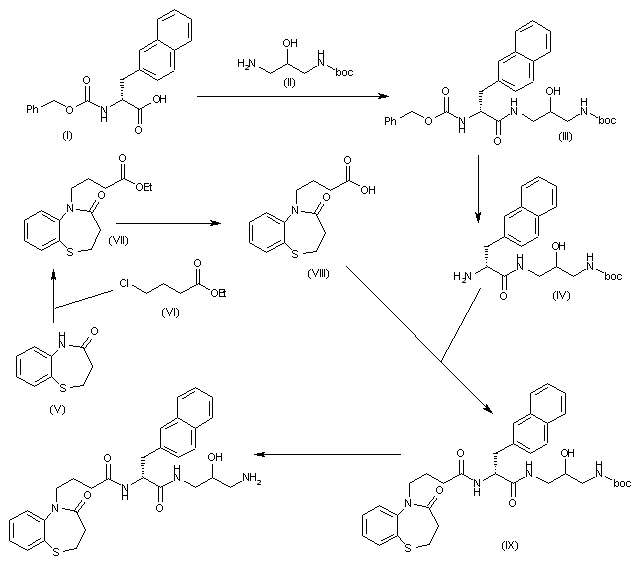
The monoamine intermediate (IV) has been obtained as follows: The condensation of 2(R)-(benzyloxycarbonylamino)-3-(2-naphthyl)propionic acid (I) with 3-(tert-butoxycarbonylamino)-2-hydroxypropylamine (II) gives the corresponding amide (III), which is regioselectively deprotected by hydrogenolysis to yield the desired monoamine (IV). The condensation of 2,3,4,5-tetrahydro-1,5-benzothiazepin-4-one (V) with 4-chlorobutyric acid ethyl ester (VI) gives the corresponding cyclic amide (VII), which is hydrolyzed to afford the carboxylic acid (VIII). The condensation of acid (VIII) with the intermediate amine (IV) provides the amide (IX), which is finally N-deprotected to furnish the target diamide.

参考文献No.641458
标题:Rational design, discovery, and synthesis of a novel series of potent growth hormone secretagogues
作者:Huang, P.; Loew, G.H.; Funamizu, H.; Mimura, M.; Ishiyama, N.; Hayashida, M.; Okuno, T.; Shimada, O.; Okuyama, A.; Ikegami, S.; Nakano, J.; Inoguchi, K.
来源:J Med Chem 2001,44(24),4082
合成路线图解说明:

The monoamine intermediate (IV) has been obtained as follows: The condensation of 2(R)-(benzyloxycarbonylamino)-3-(2-naphthyl)propionic acid (I) with 3-(tert-butoxycarbonylamino)-2-hydroxypropylamine (II) gives the corresponding amide (III), which is regioselectively deprotected by hydrogenolysis to yield the desired monoamine (IV). The condensation of 2,3,4,5-tetrahydro-1,5-benzothiazepin-4-one (V) with 4-chlorobutyric acid ethyl ester (VI) gives the corresponding cyclic amide (VII), which is hydrolyzed to afford the carboxylic acid (VIII). The condensation of acid (VIII) with the intermediate amine (IV) provides the amide (IX), which is finally N-deprotected to furnish the target diamide.

Drug Information Express,Drug R&D,Chemical Database,Patent Search.
Copyright © 2006-2026 Drug Future. All rights reserved.Contact Us