【药物名称】
化学结构式(Chemical Structure):
参考文献No.52330
标题:Type 2 helper T cell-selective immune response suppressors
作者:Matsui, H.; Takaku, H.; Isobe, Y.; Ogita, H.; Tobe, M.; Tomizawa, H. (Japan Energy Corp.)
来源:EP 1043021; US 6376501; WO 9932122
合成路线图解说明:

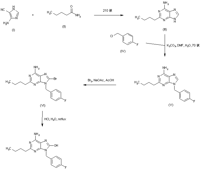
Condensation of 4-amino-5-cyanoimidazole (I) with pentanamide (II) upon heating at 210 C produced the 2-butyladenine (III). Subsequent alkylation of (III) with 4-fluorobenzyl chloride (IV) yielded the 9-fluorobenzyl adenine (V). This was brominated at position 8 using Br2 and NaOAc in HOAc. The resultant 8-bromo adenine (VI) was finally hydrolyzed under acidic conditions to the title 8-hydroxy derivative.

Drug Information Express,Drug R&D,Chemical Database,Patent Search.
Copyright © 2006-2026 Drug Future. All rights reserved.Contact Us