【药物名称】RO-09-4879, RO-0094879
化学结构式(Chemical Structure):
参考文献No.50860
标题:Novel bicyclic cpds.
作者:Fujii, T.; Tsujii, S.; Liu, P.; Ohtsuka, T.; Ebiike, H.; Masubuchi, M.; Aoki, Y.; Kawasaki, K. (F. Hoffmann-La Roche AG)
来源:US 6376491; WO 0037464
合成路线图解说明:

Lithiation of 1,3-bis(O-methoxymethyl)resorcinol (I) by means of n-butyllithium, followed by acylation with acetyl chloride, gave the protected acetophenone (II). Subsequent acid hydrolysis of the methoxymethyl protecting groups furnished diol (III). The 4-hydroxybenzofuran derivative (VI) was prepared by monoalkylation of (III) with ethyl bromoacetate (IV), followed by base-catalyzed cyclization of the resulting keto ester (V). Alkylation of the hydroxybenzofuran (VI) with 1,3-dibromopropane (VII) gave the bromopropyl ether (VIII). This was finally condensed with 3-picolylamine (IX) to produce the title compound.

合成路线图解说明:

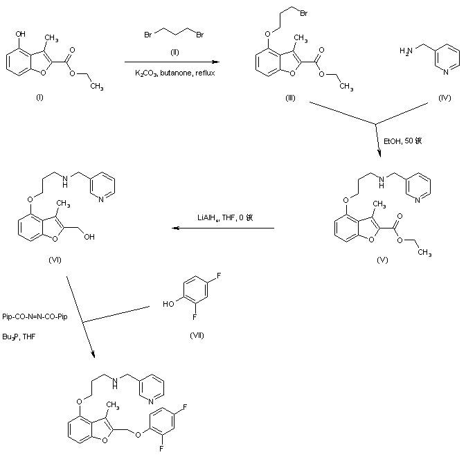
Alkylation of ethyl 4-hydroxy-3-methylbenzofuran-2-carboxylate (I) with 1,3-dibromopropane (II) in the presence of K2CO3 produced the bromopropyl ether (III). Subsequent displacement of the remaining bromine of (III) with 3-picolylamine (IV) furnished the secondary amine (V). The ester group of (V) was then reduced to alcohol (VI) with LiAlH4. Finally, Mitsunobu coupling of alcohol (VI) with 2,4-difluorophenol (VII) in the presence of 1,1'-(azodicarbonyl)dipiperidine and tributylphosphine gave rise to the target difluorophenyl ether.

合成路线图解说明:

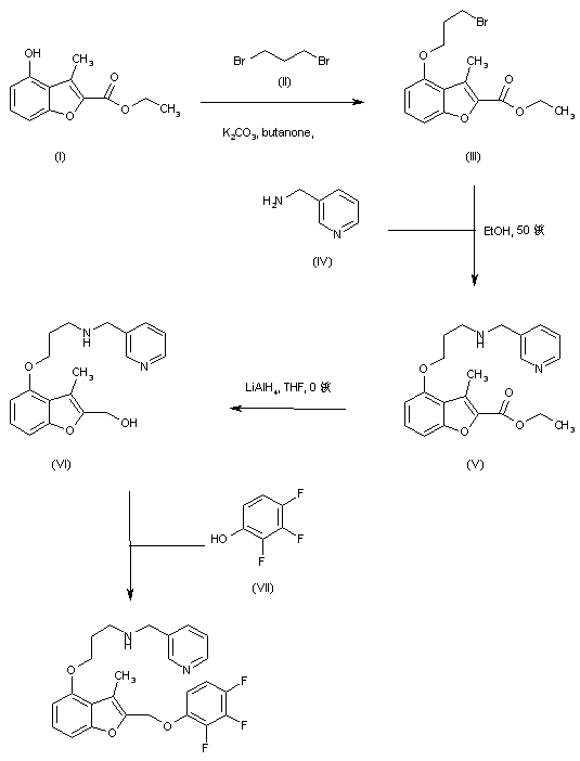
Condensation of ethyl 4-hydroxy-3-methylbenzofuran-2-carboxylate (I) with 1,3-dibromopropane (II) affords the benzofuran bromopropyl ether (III). Subsequent displacement of bromide (III) with 3-picolylamine (IV) yields amine (V). The ester group of (V) is then reduced with LiAlH4 to furnish alcohol (VI). Finally, Mitsunobu coupling between alcohol (VI) and 2,3,4-trifluorophenol (VII) in the presence of 1,1'-(azodicarbonyl)dipiperidine (ADDP) and tributylphosphine provides the title compound

参考文献No.666163
标题:Design and synthesis of novel benzofurans as a new class of antifungal agents targeting fungal N-myristoyltransferase. Part 2
作者:Ebiike, H.; Masubuchi, M.; Liu, P.; Kawasaki, K.,-I.; Morikami, K.; Sogabe, S.; Hayase, M.; Fujii, T.; Sakata, K.; Shindoh, H.; Shiratori, Y.; Aoki, Y.; Ohtsuka, T.; Shimma, N.
来源:Bioorg Med Chem Lett 2002,12(4),607
合成路线图解说明:

Alkylation of ethyl 4-hydroxy-3-methylbenzofuran-2-carboxylate (I) with 1,3-dibromopropane (II) in the presence of K2CO3 produced the bromopropyl ether (III). Subsequent displacement of the remaining bromine of (III) with 3-picolylamine (IV) furnished the secondary amine (V). The ester group of (V) was then reduced to alcohol (VI) with LiAlH4. Finally, Mitsunobu coupling of alcohol (VI) with 2,4-difluorophenol (VII) in the presence of 1,1'-(azodicarbonyl)dipiperidine and tributylphosphine gave rise to the target difluorophenyl ether.

合成路线图解说明:

Condensation of ethyl 4-hydroxy-3-methylbenzofuran-2-carboxylate (I) with 1,3-dibromopropane (II) affords the benzofuran bromopropyl ether (III). Subsequent displacement of bromide (III) with 3-picolylamine (IV) yields amine (V). The ester group of (V) is then reduced with LiAlH4 to furnish alcohol (VI). Finally, Mitsunobu coupling between alcohol (VI) and 2,3,4-trifluorophenol (VII) in the presence of 1,1'-(azodicarbonyl)dipiperidine (ADDP) and tributylphosphine provides the title compound

参考文献No.686098
标题:Design and synthesis of novel N-myristoyltransferase inhibitors as antifungal agents
作者:Ebiike, H.; Masubuchi, M.; Kawasaki, K.-I.; et al.
来源:224th ACS Natl Meet (Aug 18 2002, Boston) 2002,Abst MEDI 56
合成路线图解说明:

Condensation of ethyl 4-hydroxy-3-methylbenzofuran-2-carboxylate (I) with 1,3-dibromopropane (II) affords the benzofuran bromopropyl ether (III). Subsequent displacement of bromide (III) with 3-picolylamine (IV) yields amine (V). The ester group of (V) is then reduced with LiAlH4 to furnish alcohol (VI). Finally, Mitsunobu coupling between alcohol (VI) and 2,3,4-trifluorophenol (VII) in the presence of 1,1'-(azodicarbonyl)dipiperidine (ADDP) and tributylphosphine provides the title compound

Drug Information Express,Drug R&D,Chemical Database,Patent Search.
Copyright © 2006-2026 Drug Future. All rights reserved.Contact Us