【药物名称】
化学结构式(Chemical Structure):
参考文献No.641364
标题:Synthesis and structure-activity relationship of IFN inducer, 8-hydroxyadenine - Optimization of 2-substituted groups of adenine
作者:Ogita, H.; et al.
来源:21st Symp Med Chem (Nov 28 2001, Kyoto) 2001,Abst 1P-11
合成路线图解说明:

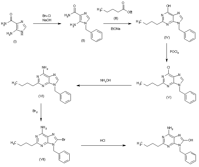
The alkylation of 5-amino-1H-imidazole-4-carboxamide (I) with benzyl chloride and NaOH in DMSO gives 5-amino-1-benzyl-1H-imidazole-4-carboxamide (II), which is cyclized with ethyl pentanoate (III) and EtONa in ethanol to yield 9-benzyl-2-butylpurine-6-ol (IV). The reaction of (IV) with POCl3 and diethylaniline affords the corresponding chloropurine (V), which by reaction with aqueous ammonia in n-butanol is converted into 9-benzyl-2-butyladenine (VI). The bromination of (VI) with Br2 affords the 8-bromo derivative (VII), which is finally hydrolyzed with aqueous HCl to afford the target 8-hydroxyadenine derivative.

Drug Information Express,Drug R&D,Chemical Database,Patent Search.
Copyright © 2006-2026 Drug Future. All rights reserved.Contact Us