【药物名称】
化学结构式(Chemical Structure):
参考文献No.53141
标题:Imidazole derivs. or salts thereof and drugs containing the derivs. or the salts
作者:Takeda, S.; Sato, S.; Takahashi, Y.; Nagao, Y.; Konno, F.; Ohtsuka, M.; Isomae, K.; Honda, H.; Hirota, H.; Kawamoto, N.; Ishii, F. (SSP Co., Ltd.)
来源:EP 1295880; WO 0200648
合成路线图解说明:

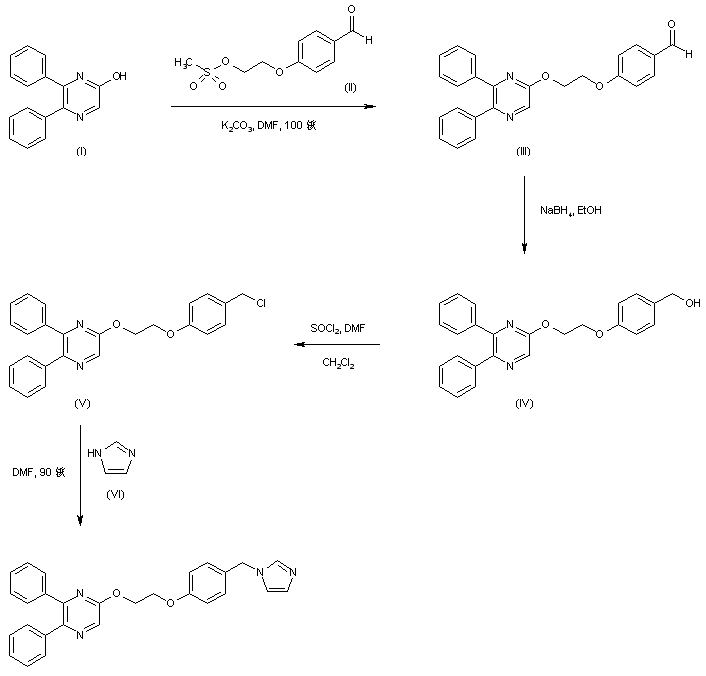
Alkylation of 5,6-diphenyl-2-pyrazinol (I) with mesylate derivative (II) furnishes the pyrazinyl ether (III). The aldehyde function of (III) is then reduced to alcohol (IV) employing NaBH4 in EtOH. Chlorination of alcohol (IV) by means of SOCl2 in the presence of catalytic DMF leads to the benzyl chloride (V). This is finally condensed with imidazole (VI) in hot DMF to yield the title compound

参考文献No.641385
标题:Novel anti-inflammatory agents with NO (nitric oxide) inhibition
作者:Konno, F.; Honda, H.; Ishii, F.; et al.
来源:21st Symp Med Chem (Nov 28 2001, Kyoto) 2001,Abst 2P-24
合成路线图解说明:

Alkylation of 5,6-diphenyl-2-pyrazinol (I) with mesylate derivative (II) furnishes the pyrazinyl ether (III). The aldehyde function of (III) is then reduced to alcohol (IV) employing NaBH4 in EtOH. Chlorination of alcohol (IV) by means of SOCl2 in the presence of catalytic DMF leads to the benzyl chloride (V). This is finally condensed with imidazole (VI) in hot DMF to yield the title compound

Drug Information Express,Drug R&D,Chemical Database,Patent Search.
Copyright © 2006-2026 Drug Future. All rights reserved.Contact Us