【药物名称】J-104870
化学结构式(Chemical Structure):
参考文献No.34371
标题:Aminopyridine derivs.
作者:Fukami, T.; Mase, T.; Tsuchiya, Y.; Kanatani, A.; Fukuroda, T. (Banyu Pharmaceutical Co., Ltd.)
来源:EP 0889034; US 6011039; WO 9734873
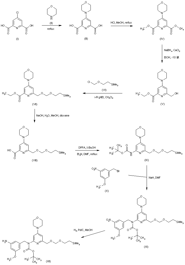
合成路线图解说明:

The condensation of 4-chloro-2,6-pyridinedicarboxylic acid (I) with morpholine (II) afforded the morpholinopyridinedicarboxylic acid (III), which was further esterified with MeOH and HCl to produce diester (IV). Reduction of (IV) with NaBH4 and CaCl2 gave hydroxy ester (V). After protection of the hydroxyl group of (V) as the trimethylsilylethoxymethyl derivative (VII), the ester group was hydrolyzed under basic conditions yielding acid (VIII). This was then subjected to a Curtius rearrangement with DPPA in the presence of tert-butanol to generate the tert-butyl carbamate (IX). Alkylation of carbamate (IX) with 3-methoxy-5-nitrobenzyl bromide (X) and NaH furnished the N-benzyl carbamate derivative (XI). The nitro group of (XI) was then reduced to amine (XII) by catalytic hydrogenation over Pd/C.

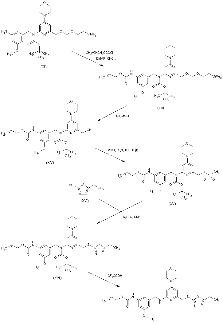
合成路线图解说明:

Amine (XII) was converted into allyl carbamate (XIII) by reaction with allyl chloroformate. The silylethoxymethyl protecting group of (XIII) was then removed by acidic treatment to provide alcohol (XIV), which was further activated as the corresponding mesylate (XV). Condensation of mesylate (XV) with 5-ethyl-2-mercaptothiazole (XVI) gave thioether (XVII). The N-Boc group of (XVII) was finally cleaved by treatment with trifluoroacetic acid to yield the title compound.

参考文献No.641391
标题:Potent and selective aminopyridine NPY Y1 receptor antagonists
作者:Haga, Y.; Tsuchiya, Y.; Mase, T.; et al.
来源:21st Symp Med Chem (Nov 28 2001, Kyoto) 2001,Abst 2P-38
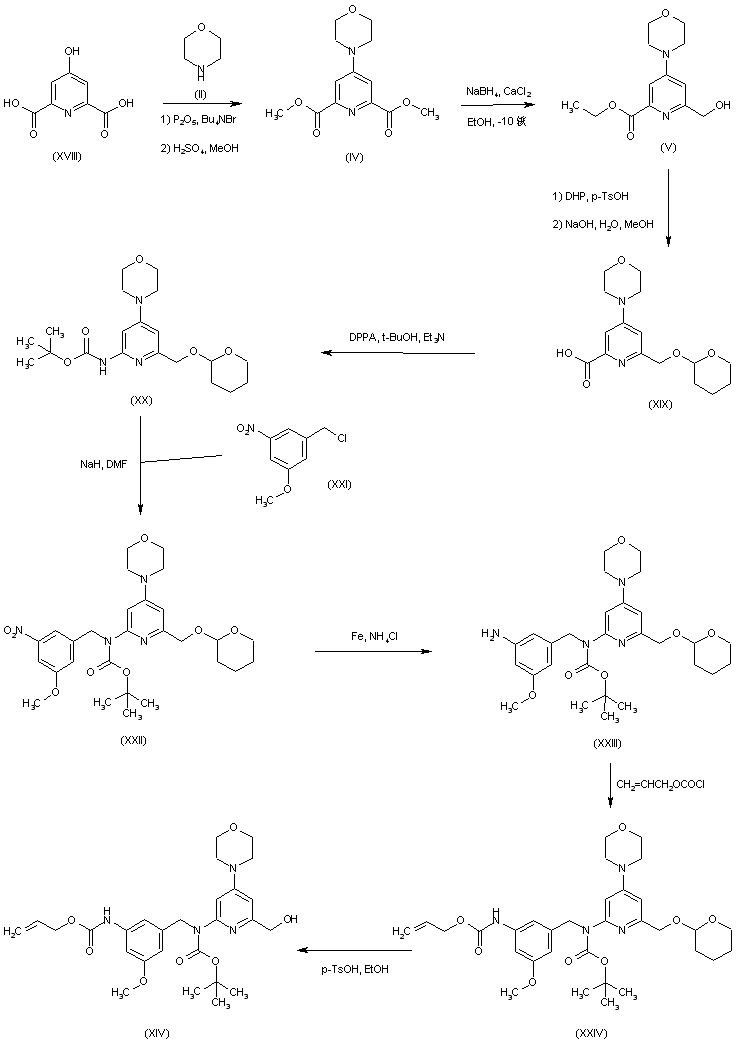
合成路线图解说明:

A similar method, but using a different protection strategy, has been reported. 4-Hydroxy-2,6-pyridinedicarboxylic acid (XVIII) was condensed with morpholine (II) to provide, after Fischer esterification, the morpholinopyridine diester (IV). Reduction of (IV) with calcium borohydride furnished hydroxy ester (V). Protection of (V) as the corresponding tetrahydropyranyl ether, followed by ester group saponification, afforded (XIX). Curtius rearrangement of acid (XIX) in the same conditions as above gave carbamate (XX), which was alkylated with benzyl chloride (XXI) yielding (XXII). After reduction of the nitroderivative (XXII) with iron and ammonium chloride, the resultant amine (XXIII) was acylated by allyl chloroformate to produce carbamate (XXIV). Then, acidic treatment removed the tetrahydropyranyl-protecting group to afford alcohol (XIV), which was finally processed as in the above method.

Drug Information Express,Drug R&D,Chemical Database,Patent Search.
Copyright © 2006-2026 Drug Future. All rights reserved.Contact Us