【药物名称】FYK-1388
化学结构式(Chemical Structure):
参考文献No.31485
标题:Highly water-soluble metalloproteinase inhibitor
作者:Fujisawa, T.; Odake, S.; Morita, Y.; Hongo, T.; Ito, H.; Yasuda, J.; Suda, E.; Igeta, K.; Morikawa, T. (Fuji Yakuhin Kogyo Co., Ltd.)
来源:EP 0832875; WO 9633968
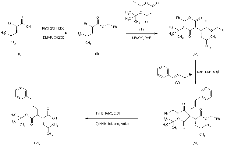
合成路线图解说明:

(R)-2-Bromo-4-methylpentanoic acid (I) was protected as the benzyl ester (II) and subsequently condensed with benzyl tert-butyl malonate (III) in the presence of potassium tert-butoxide to furnish the triester (IV) as an epimeric mixture. Alkylation of (IV) with cinnamyl bromide (V) produced adduct (VI). The key intermediate (VII) was then obtained by catalytic hydrogenation of the benzyl esters and olefin double bond of (VI), followed by thermal malonate decarboxylation.

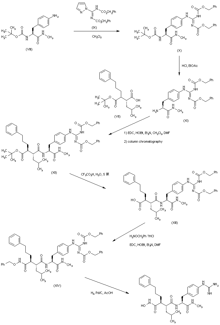
合成路线图解说明:

N-Boc-L-4'-Aminophenylalanine-N-methylamide (VIII) was converted to the guanidine derivative (X) by reaction with pyrazole-N,N'-bis(benzyloxycarbonyl)carboxamidine (IX). After acidic Boc group cleavage in (IX), the resultant amino amide (XI) was coupled with the carboxylic acid (VII) to produce a diastereomeric mixture of amides, which were separated by column chromatography. The desired isomer (XII) was then treated with 95% aqueous trifluoroacetic acid to remove the tert-butyl ester group, yielding acid (XIII). Coupling of (XIII) with O-benzyl hydroxylamine furnished the O-benzyl hydroxamate (XIV). Finally, the benzyl and benzyloxycarbonyl protecting groups of (XIV) were removed by catalytic hydrogenation over Pd/C to afford the title compound.

Drug Information Express,Drug R&D,Chemical Database,Patent Search.
Copyright © 2006-2026 Drug Future. All rights reserved.Contact Us