【药物名称】BAL-8557, RO-0098557
化学结构式(Chemical Structure):
参考文献No.40469
标题:3-[4-(4-Cyanophenyl)thiazol-2-yl)]-1-(1H-1,2,4-triazol-1-yl)-butan-2-ol derivs. having antifungal activity
作者:Yamazaki, T.; Sakai, T.; Shimma, N.; Umeda, I.; Ichihara, S.; Ohwada, J.; Hayase, T.; Isshiki, Y.; Liu, P.; Tsukazaki, M. (F. Hoffmann-La Roche AG)
来源:US 6300353; WO 9945008
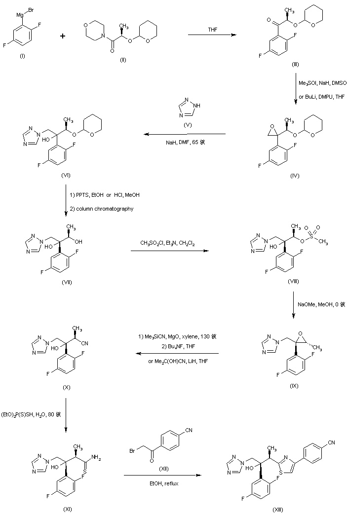
合成路线图解说明:

Addition of 2,5-difluorophenylmagnesium bromide (I) to the O-tetrahydropyranyl lactic acid amide (II) afforded the propiophenone derivative (III). Oxirane (IV) was then obtained by reaction of ketone (III) with the sulfur ylide generated from trimethylsulfoxonium iodide and either NaH or BuLi. Epoxide ring opening with the sodium salt of 1,2,4-triazole (V) led to the triazolyl alcohol (VI) as a mixture of diastereoisomers. After acid hydrolysis of the tetrahydropyranyl protecting group of (VI), the resultant mixture of diols was separated by column chromatography. The desired (R,R) diastereoisomer (VII) was converted to epoxide (IX) via formation of mesylate (VIII), which was subsequently cyclized in the presence of NaOMe. Nitrile (X) was then obtained by reaction of oxirane (IX) with either trimethylsilyl cyanide, followed by desilylation with Bu4NF, or with acetone cyanohydrin and LiH. Conversion of nitrile (X) into thioamide (XI) was accomplished by treatment with diethyl dithiophosphate. Cyclization of thioamide (XI) with 4-cyanophenacyl bromide (XII) gave rise to the thiazole derivative (XIII).

参考文献No.52441
标题:N-Substd. carbamoyloxyalkyl-azolium derivs.
作者:Shimma, N.; Fukuda, H.; Umeda, I.; Ohwada, J.; Sakaitani, M.; Oikawa, N.; Hayase, T.; Tsukazaki, M.; Mizuguchi, E. (F. Hoffmann-La Roche AG)
来源:WO 0132652
合成路线图解说明:

The intermediate amino alcohol (XVIII) was prepared by two ways. 2-Chloronicotinic acid (XIV) was converted to the corresponding acid chloride (XV) by treatment with oxalyl chloride, and then reacted with potassium tert-butoxide to afford the tert-butyl ester (XVI). Displacement of the chloride group of (XVI) with methanolic methylamine gave rise to the 2-(methylamino)nicotinic ester (XVII), which was then reduced to alcohol (XVIII) employing LiAlH4. Alternatively, 2-aminonicotinic acid (XIX) was esterified to (XX) by means of 2-chloro-1,3-dimethylimidazolinium chloride in MeOH. The amino group of (XX) was acylated with formic acetic anhydride to give formamide (XXI). Amino alcohol (XVIII) was then obtained by reduction of amido ester (XXI) in the presence of LiAlH4. Condensation of (XVIII) with 1-chloroethyl chloroformate produced the carbamate alcohol (XXII), which was subsequently esterified with N-Boc-sarcosine (XXIII) by means of EDC yielding (XXIV) (2). Quaternization of the triazole compound (XIII) with the chloroethyl carbamate (XXIV) in the presence of NaI furnished the corresponding triazolium salt, which was finally subjected to acidic Boc group cleavage to produce the title compound.

参考文献No.641328
标题:Development of novel water antifungal, RO0098557
作者:Hayase, T.; Tsukazaki, M.; Ohwada, J.; et al.
来源:21st Symp Med Chem (Nov 28 2001, Kyoto) 2001,Abst 1P-06
合成路线图解说明:

The intermediate amino alcohol (XVIII) was prepared by two ways. 2-Chloronicotinic acid (XIV) was converted to the corresponding acid chloride (XV) by treatment with oxalyl chloride, and then reacted with potassium tert-butoxide to afford the tert-butyl ester (XVI). Displacement of the chloride group of (XVI) with methanolic methylamine gave rise to the 2-(methylamino)nicotinic ester (XVII), which was then reduced to alcohol (XVIII) employing LiAlH4. Alternatively, 2-aminonicotinic acid (XIX) was esterified to (XX) by means of 2-chloro-1,3-dimethylimidazolinium chloride in MeOH. The amino group of (XX) was acylated with formic acetic anhydride to give formamide (XXI). Amino alcohol (XVIII) was then obtained by reduction of amido ester (XXI) in the presence of LiAlH4. Condensation of (XVIII) with 1-chloroethyl chloroformate produced the carbamate alcohol (XXII), which was subsequently esterified with N-Boc-sarcosine (XXIII) by means of EDC yielding (XXIV) (2). Quaternization of the triazole compound (XIII) with the chloroethyl carbamate (XXIV) in the presence of NaI furnished the corresponding triazolium salt, which was finally subjected to acidic Boc group cleavage to produce the title compound.

参考文献No.695140
标题:RO0098557, a novel water soluble azole prodrug for parenteral and oral administration (I). Design, synthesis, physicochemical properties and bioconversion
作者:Ohwada, J.; et al.
来源:42nd Intersci Conf Antimicrob Agents Chemother (Sept 27 2002, San Diego) 2002,Abst F-820
合成路线图解说明:

The intermediate amino alcohol (XVIII) was prepared by two ways. 2-Chloronicotinic acid (XIV) was converted to the corresponding acid chloride (XV) by treatment with oxalyl chloride, and then reacted with potassium tert-butoxide to afford the tert-butyl ester (XVI). Displacement of the chloride group of (XVI) with methanolic methylamine gave rise to the 2-(methylamino)nicotinic ester (XVII), which was then reduced to alcohol (XVIII) employing LiAlH4. Alternatively, 2-aminonicotinic acid (XIX) was esterified to (XX) by means of 2-chloro-1,3-dimethylimidazolinium chloride in MeOH. The amino group of (XX) was acylated with formic acetic anhydride to give formamide (XXI). Amino alcohol (XVIII) was then obtained by reduction of amido ester (XXI) in the presence of LiAlH4. Condensation of (XVIII) with 1-chloroethyl chloroformate produced the carbamate alcohol (XXII), which was subsequently esterified with N-Boc-sarcosine (XXIII) by means of EDC yielding (XXIV) (2). Quaternization of the triazole compound (XIII) with the chloroethyl carbamate (XXIV) in the presence of NaI furnished the corresponding triazolium salt, which was finally subjected to acidic Boc group cleavage to produce the title compound.

参考文献No.714670
标题:Design, synthesis and antifungal activity of a novel water soluble prodrug of antifungal triazole
作者:Ohwada, J.; Tsukazaki, M.; Hayase, T.; Oikawa, N.; Isshiki, Y.; Fukuda, H.; Mizuguchi, E.; Sakaitani, M.; Shiratori, Y.; Yamazaki, T.; Ichihara, S.; Umeda, I.; Shimma, N.
来源:Bioorg Med Chem Lett 2003,13(2),191
合成路线图解说明:

The intermediate amino alcohol (XVIII) was prepared by two ways. 2-Chloronicotinic acid (XIV) was converted to the corresponding acid chloride (XV) by treatment with oxalyl chloride, and then reacted with potassium tert-butoxide to afford the tert-butyl ester (XVI). Displacement of the chloride group of (XVI) with methanolic methylamine gave rise to the 2-(methylamino)nicotinic ester (XVII), which was then reduced to alcohol (XVIII) employing LiAlH4. Alternatively, 2-aminonicotinic acid (XIX) was esterified to (XX) by means of 2-chloro-1,3-dimethylimidazolinium chloride in MeOH. The amino group of (XX) was acylated with formic acetic anhydride to give formamide (XXI). Amino alcohol (XVIII) was then obtained by reduction of amido ester (XXI) in the presence of LiAlH4. Condensation of (XVIII) with 1-chloroethyl chloroformate produced the carbamate alcohol (XXII), which was subsequently esterified with N-Boc-sarcosine (XXIII) by means of EDC yielding (XXIV) (2). Quaternization of the triazole compound (XIII) with the chloroethyl carbamate (XXIV) in the presence of NaI furnished the corresponding triazolium salt, which was finally subjected to acidic Boc group cleavage to produce the title compound.

Drug Information Express,Drug R&D,Chemical Database,Patent Search.
Copyright © 2006-2026 Drug Future. All rights reserved.Contact Us