【药物名称】L-294, LASSBio-294
化学结构式(Chemical Structure):
参考文献No.52092
标题:Thienylhydrazon with digitalis-like properties (positive inotropic effects)
作者:Sudo, R.T.; Alburquerque, E.X.; De Barreiro, E.J. (University of Maryland)
来源:WO 0078754
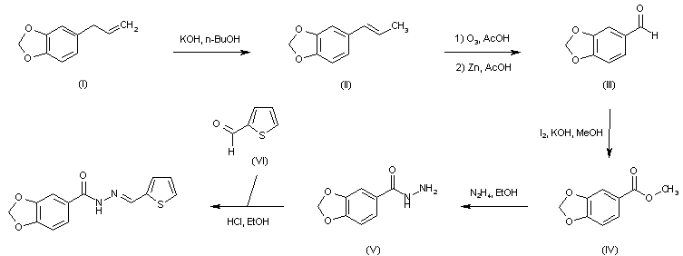
合成路线图解说明:

Isosafrole (II) was obtained by isomerization of safrole (I) under basic conditions. Ozonolysis of (II), followed by reductive decomposition of the intermediate ozonide with Zn, furnished piperonal (III). Oxidation of aldehyde (III) with methanolic iodine produced the methyl ester (IV), which was converted to the corresponding hydrazide (V) upon treatment with hydrazine in refluxing EtOH. Finally, condensation of (V) with thiophene-2-carboxaldehyde (VI) yielded the title hydrazone.

参考文献No.640726
标题:A novel thienylhydrazone, (2-thienylidene)3,4-methylenedioxybenzoylhydrazine, increases inotropism and decreases fatigue of skeletal muscle
作者:Gonzalez-Serratos, H.; et al.
来源:J Pharmacol Exp Ther 2001,299(2),588
合成路线图解说明:

Isosafrole (II) was obtained by isomerization of safrole (I) under basic conditions. Ozonolysis of (II), followed by reductive decomposition of the intermediate ozonide with Zn, furnished piperonal (III). Oxidation of aldehyde (III) with methanolic iodine produced the methyl ester (IV), which was converted to the corresponding hydrazide (V) upon treatment with hydrazine in refluxing EtOH. Finally, condensation of (V) with thiophene-2-carboxaldehyde (VI) yielded the title hydrazone.

Drug Information Express,Drug R&D,Chemical Database,Patent Search.
Copyright © 2006-2026 Drug Future. All rights reserved.Contact Us