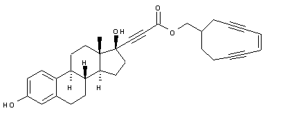
【药物名称】
化学结构式(Chemical Structure):
参考文献No.639827
标题:Target-directed enediynes: Design estramycins
作者:Jones, G.B.; Hynd, G.; Wright, J.M.; Purohit, A.; Plourde, G.W. II.; Huber, R.S.; Mathews, J.E.; Li, A.; Kilgore, M.W.; Bubley, G.J.; Yancisin, M.; Brown, M.A.
来源:J Org Chem 2001,66(11),3688
合成路线图解说明:

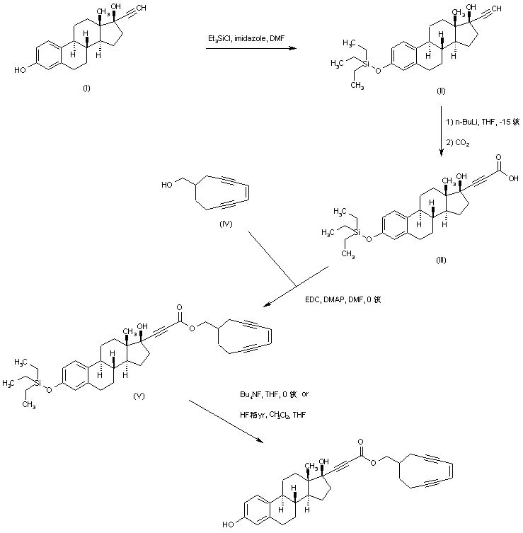
Ethynyl estradiol (I) was protected at the phenolic hydroxyl group as the silyl ether (II) by using triethylsilyl chloride and imidazole. The lithium acetylide derived from (II) was then carboxylated by a stream of CO2 to afford the propiolic acid derivative (III). Subsequent coupling of acid (III) with the cyclic enediine alcohol (IV) in the presence of EDC and DMAP furnished the silyl-protected ester (V). Finally, desilylation of (V) with either Bu4NF or HF穚yridine led to the target compound.

参考文献No.652584
标题:Protein-degrading enediynes: Library screening of Bergman cycloaromatization products
作者:Jones, G.B.; Wright, J.M.; Hynd, G.; Wyatt, J.K.; Yancisin, M.; Brown, M.A.
来源:Org Lett 2000,2(13),1863
合成路线图解说明:

Ethynyl estradiol (I) was protected at the phenolic hydroxyl group as the silyl ether (II) by using triethylsilyl chloride and imidazole. The lithium acetylide derived from (II) was then carboxylated by a stream of CO2 to afford the propiolic acid derivative (III). Subsequent coupling of acid (III) with the cyclic enediine alcohol (IV) in the presence of EDC and DMAP furnished the silyl-protected ester (V). Finally, desilylation of (V) with either Bu4NF or HF穚yridine led to the target compound.

Drug Information Express,Drug R&D,Chemical Database,Patent Search.
Copyright © 2006-2026 Drug Future. All rights reserved.Contact Us