【药物名称】GT-015, GT-715
化学结构式(Chemical Structure):
参考文献No.51928
标题:Nitrate esters and their use for neurological conditions
作者:Bennett, B.M.; Boegman, R.J.; Jhamandas, K.; Thatcher, G.R.; Reynolds, J.N. (Queen's University)
来源:US 5807847; WO 9746521
合成路线图解说明:

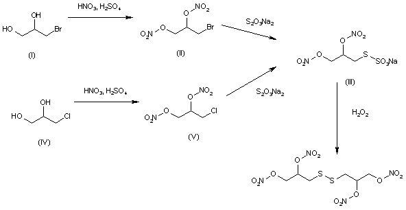
The nitration of 3-bromopropane-1,2-diol (I) with HNO3 and H2SO4 in dichloromethane gives the dinitrate (II), which is treated with Na2S2O3 in hot methanol/water to yield the Bunte salt (III). Finally, this compound is oxidized with H2O2 catalyzed by H2SO4 in ethanol/water to afford the target disulfide. Alternatively, the Bunte salt (III) can also be obtained as follows: The nitration of 3-chloropropane-1,2-diol (IV) with HNO3 and H2SO4 in dichloromethane gives the dinitrate (V), which is then treated with Na2S2O3 as before

参考文献No.51929
标题:Nitrate esters and their use for neurological conditions
作者:Bennett, B.M.; Jhamandas, K.; Thatcher, G.R.J.; Boegman, R.J.; Reynolds, J.M. (Queen's University)
来源:US 5883122
合成路线图解说明:

The nitration of 3-bromopropane-1,2-diol (I) with HNO3 and H2SO4 in dichloromethane gives the dinitrate (II), which is treated with Na2S2O3 in hot methanol/water to yield the Bunte salt (III). Finally, this compound is oxidized with H2O2 catalyzed by H2SO4 in ethanol/water to afford the target disulfide. Alternatively, the Bunte salt (III) can also be obtained as follows: The nitration of 3-chloropropane-1,2-diol (IV) with HNO3 and H2SO4 in dichloromethane gives the dinitrate (V), which is then treated with Na2S2O3 as before

参考文献No.51930
标题:Methods and compsns. for mitigating pain
作者:Bennett, B.M.; Reynolds, J.N.; Thatcher, G.R.J.; Jhamandas, K. (Queen's University)
来源:WO 0149275
合成路线图解说明:

The nitration of 3-bromopropane-1,2-diol (I) with HNO3 and H2SO4 in dichloromethane gives the dinitrate (II), which is treated with Na2S2O3 in hot methanol/water to yield the Bunte salt (III). Finally, this compound is oxidized with H2O2 catalyzed by H2SO4 in ethanol/water to afford the target disulfide. Alternatively, the Bunte salt (III) can also be obtained as follows: The nitration of 3-chloropropane-1,2-diol (IV) with HNO3 and H2SO4 in dichloromethane gives the dinitrate (V), which is then treated with Na2S2O3 as before

参考文献No.51931
标题:Nitrate esters and their use for neurological conditions
作者:Jhamandas, K.; Reynolds, J.N.; Bennett, B.M.; Boegman, R.J.; Thatcher, G.R.J. (Queen's University)
来源:WO 0054756
合成路线图解说明:

The nitration of 3-bromopropane-1,2-diol (I) with HNO3 and H2SO4 in dichloromethane gives the dinitrate (II), which is treated with Na2S2O3 in hot methanol/water to yield the Bunte salt (III). Finally, this compound is oxidized with H2O2 catalyzed by H2SO4 in ethanol/water to afford the target disulfide. Alternatively, the Bunte salt (III) can also be obtained as follows: The nitration of 3-chloropropane-1,2-diol (IV) with HNO3 and H2SO4 in dichloromethane gives the dinitrate (V), which is then treated with Na2S2O3 as before

参考文献No.648996
标题:Synthesis of novel organic nitrate esters: Guanylate cyclase activation and tissue relaxation
作者:Yang, K.; et al.
来源:J Chem Soc Perkins Trans 1996,1073
合成路线图解说明:

The nitration of 3-bromopropane-1,2-diol (I) with HNO3 and H2SO4 in dichloromethane gives the dinitrate (II), which is treated with Na2S2O3 in hot methanol/water to yield the Bunte salt (III). Finally, this compound is oxidized with H2O2 catalyzed by H2SO4 in ethanol/water to afford the target disulfide. Alternatively, the Bunte salt (III) can also be obtained as follows: The nitration of 3-chloropropane-1,2-diol (IV) with HNO3 and H2SO4 in dichloromethane gives the dinitrate (V), which is then treated with Na2S2O3 as before

Drug Information Express,Drug R&D,Chemical Database,Patent Search.
Copyright © 2006-2026 Drug Future. All rights reserved.Contact Us