【药物名称】DDE-934
化学结构式(Chemical Structure):
参考文献No.635778
标题:Regiospecific synthesis, X-ray crystal structure and biological activities of 5-bromothiophenethyl thioureas
作者:Uckun, F.M.; Sudbeck, E.A.; Venkatachalam, T.K.
来源:Tetrahedron Lett 2001,42(38),6629
合成路线图解说明:

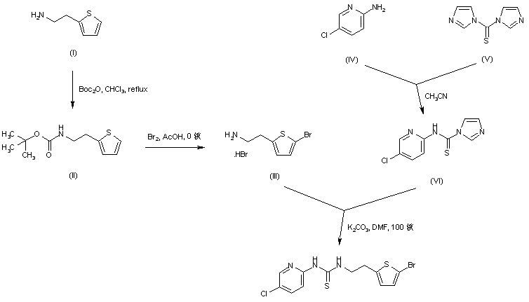
2-(2-Thienyl)ethylamine (I) was protected as the N-Boc derivative (II) with Boc2O in CHCl3. Regioselective halogenation of the thiophene ring of (II) with concomitant Boc group cleavage by means of bromine in cold HOAc yielded the 5-bromothiophene (III). The thioimidazolide (VI) was prepared by reaction of 2-amino-5-chloropyridine (IV) with thiocarbonyl diimidazole (V). Finally, condensation of (VI) with amine (III) in hot DMF furnished the target thiourea.

Drug Information Express,Drug R&D,Chemical Database,Patent Search.
Copyright © 2006-2026 Drug Future. All rights reserved.Contact Us