【药物名称】UTA-6026
化学结构式(Chemical Structure):
参考文献No.639829
标题:Design and synthesis of a novel DNA-DNA interstrand adenine-guanine cross-linking agent
作者:Zhou, Q.; Duan, W.; Simmons, D.; Shayo, Y.; Raymond, M.A.; Dorr, R.T.; Hurley, L.H.
来源:J Am Chem Soc 2001,123(20),4865
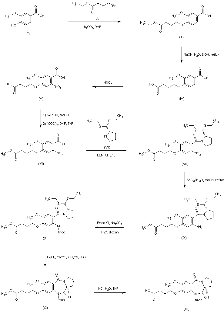
合成路线图解说明:

Vanillic acid (I) was alkylated with ethyl bromobutyrate (II) to afford ether (III). The ester function of (III) was then subjected to saponification, yielding diacid (IV). Nitration of (IV) gave the nitro compound (V). Selective esterification of the aliphatic carboxyl group of (V) was achieved employing p-toluenesulfonic acid in methanol, and the resultant mono-acid was further converted to the corresponding acid chloride (VI) upon treatment with oxalyl chloride. Coupling of acid chloride (VI) with (S)-pyrrolidine-2-carbaldehyde diethyl dithioketal (VII) provided amide (VIII). After the reduction of the nitro group of (VIII) by means of SnCl2, the resultant amino compound (IX) was protected as the N-Fmoc derivative (X). Thioketal deprotection of (X) with concomitant cyclization in the presence of HgCl2 and CaCO3 gave rise to the pyrrolobenzodiazepinone system (XI). The methyl ester of (XI) was then hydrolyzed under acidic conditions to furnish acid (XII).

合成路线图解说明:

Acid (XII) was coupled with the indolyl amine (XIII) by means of EDC to give amide (XIV). Finally, simultaneous removal of the Fmoc protecting group of (XIV) and cyclization of its seco-cyclopropapyrroloindole moiety were accomplished in one step by treatment with tetrabutylammonium fluoride in DMF, producing the target compound.

Drug Information Express,Drug R&D,Chemical Database,Patent Search.
Copyright © 2006-2026 Drug Future. All rights reserved.Contact Us