【药物名称】
化学结构式(Chemical Structure):
参考文献No.639162
标题:Preparation and evaluation of sulfide derivatives of the antibiotic brefeldin A as potential prodrug candidates with enhanced aqueous solubilities
作者:Fox, B.M.; Vroman, J.A.; Fanwick, P.E.; Cushman, M.
来源:J Med Chem 2001,44(23),3915
合成路线图解说明:

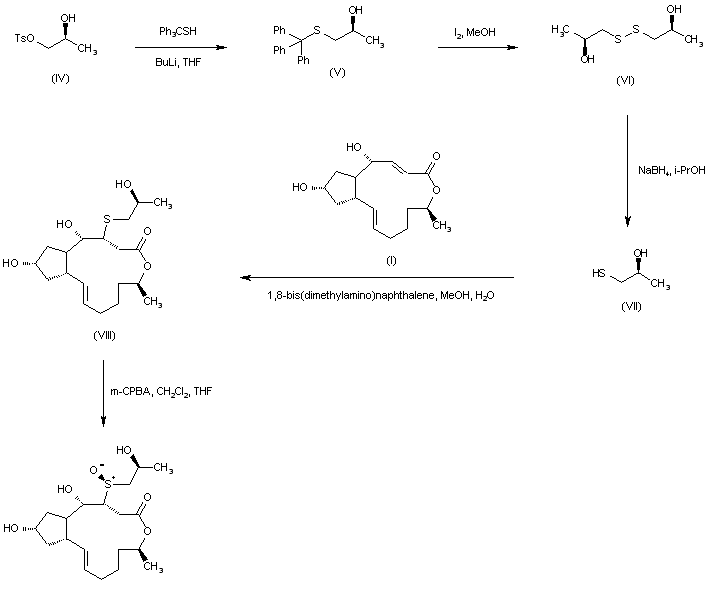
The sulfide adduct (III) was obtained as a diastereomeric mixture by Michael addition of racemic 1-mercapto-2-propanol (II) to the unsaturated lactone function of brefeldin A (I) in the presence of proton sponge(R). Diastereoselective oxidation of sulfide (III) with m-CPBA produced the corresponding sulfoxide as a mixture of epimers at the C2' position, from which the title 2'S compound was isolated by means of flash chromatography.

合成路线图解说明:

A stereoselective synthesis for the title 2'S isomer was also reported, employing (S)-1-mercapto-2-propanol (VII). Conversion of the chiral tosylate (IV) to the trityl sulfide (V) was achieved by treatment with the lithium thiolate of triphenylmethanethiol. The trityl group of (V) was then removed by iodine in MeOH, producing disulfide (VI). This was reduced with NaBH4 to the corresponding thiol (VII), which was subsequently added to brefeldin A (I), producing the desired sulfide isomer (VIII). Final oxidation of sulfide (VIII) with m-CPBA yielded the target sulfoxide.

Drug Information Express,Drug R&D,Chemical Database,Patent Search.
Copyright © 2006-2026 Drug Future. All rights reserved.Contact Us