【药物名称】PS-26
化学结构式(Chemical Structure):
参考文献No.639176
标题:Phenoxypropoxybiguanides, prodrugs of DHFR-inhibiting diaminotriazine antimalarials
作者:Jensen, N.P.; Ager, A.L.; Bliss, R.A.; Canfield, C.J.; Kotecka, B.M.; Rieckmann, K.H.; Terpinski, J.; Jacobus, D.P.
来源:J Med Chem 2001,44(23),3925
合成路线图解说明:

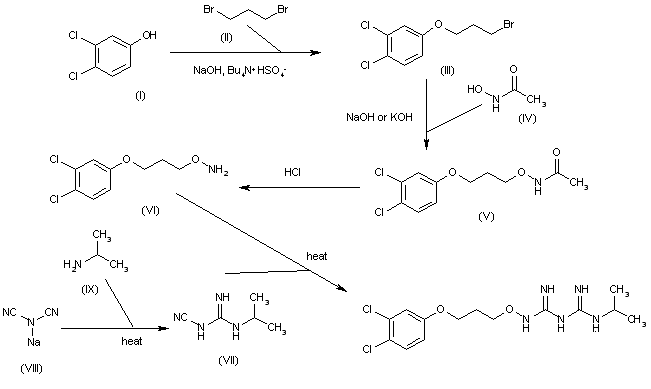
The reaction of 3,4-dichlorophenol (I) with 1,3-dibromopropane (II) by means of NaOH and tetrabutylammonium hydrogensulfate gives the corresponding phenol ether (III), which is condensed with N-acetylhydroxylamine (IV) by means of NaOH or KOH in an alcoholic solvent to yield the O-substituted acetylhydroxylamine (V). The hydrolysis of (V) with HCl in methanol affords the free O-substituted hydroxylamine (VI), which is finally condensed with N1-cyano-N3-isopropylguanidine (VII) in hot ethyl acetate. The intermediate N1-cyano-N3-isopropylguanidine (VII) has been obtained by reaction of sodium dicyanamide (VIII) with isopropylamine (IX) and HCl in a hot alcoholic solvent.

Drug Information Express,Drug R&D,Chemical Database,Patent Search.
Copyright © 2006-2026 Drug Future. All rights reserved.Contact Us