【药物名称】
化学结构式(Chemical Structure):
参考文献No.639252
标题:Exploiting subsite S1 of trypsin-like serine proteases for selectivity: Potent and selective inhibitors of urokinase-type plasminogen activator
作者:Mackman, R.L.; Katz, B.A.; Breitenbucher, J.G.; Hui, H.C.; Verner, E.; Luong, C.; Liu, L.; Sprengeler, P.A.
来源:J Med Chem 2001,44(23),3856
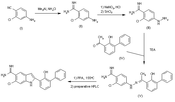
合成路线图解说明:

The ammonolysis of the cyano group of 4-amino-2-chlorobenzonitrile (I) with Me3Al and NH4Cl in refluxing p-xylene gives the benzamidine (II), which by reaction with NaNO2 and HCl, followed by reduction with SnCl2, yields 4-carboxamidino-3-clorophenylhydrazine (III). The condensation of (III) with acetophenone (IV) by means of TEA in refluxing ethanol affords the corresponding hydrazone (V), which is finally submitted to a Fisher indolization reaction with PPA at 155?C, providing a mixture of the 4-chloro and the target 6-chloro regioisomers that is resolved by preparative HPLC.

合成路线图解说明:

The reaction of 4-amino-2-chloro-5-iodobenzonitrile (VI) with Ms-Cl gives the corresponding mesylate (VII), which is cyclized with 3-ethynyl-2-methoxybiphenyl (VIII) by means of Pd(PPh3)2Cl2, CuI, TEA and TBAF or NaOH to yield the O-protected cyanoindole (IX). Finally, this compound is treated with hydroxylamine in refluxing ethanol and deprotected with HOAc, Ac2O and Zn to afford the target indole carboxamidine compound.

Drug Information Express,Drug R&D,Chemical Database,Patent Search.
Copyright © 2006-2026 Drug Future. All rights reserved.Contact Us