【药物名称】PS-1145
化学结构式(Chemical Structure):
参考文献No.51168
标题:Substd. beta-carbolines as IkB-kinase inhibiting activity
作者:Adams, J.; Soucy, F.; Grenier, L.; Castro, A.; Mazdiyasni, H.; Hancock, W.W.; Ritzeler, O.; Palombella, V. (Aventis Pharma Deutschland GmbH)
来源:EP 1134221; EP 1209158; EP 1268477; JP 2003527394; US 2002099068; US 6627637; WO 0168648
合成路线图解说明:

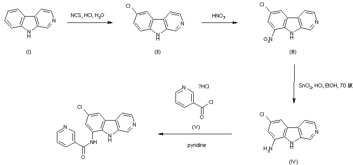
The chlorination of norharmane (I) by means of N-chlorosuccinimide in aqueous HCl affords 7-chloro-beta-carboline (II). Subsequent electrophilic nitration of (II) with concentrated HNO3 gives rise to the 9-nitro compound (III), which is further reduced to the corresponding amine (IV) with SnCl2/HCl. Acylation of amine (IV) with nicotinoyl chloride (V) in pyridine then furnishes the target nicotinamide derivative.

Drug Information Express,Drug R&D,Chemical Database,Patent Search.
Copyright © 2006-2026 Drug Future. All rights reserved.Contact Us