【药物名称】480848, SB-480848
化学结构式(Chemical Structure):
参考文献No.50707
标题:Pyrimidine-4-one derivs. as LDL-PLA 2 inhibitors
作者:Ife, R.J.; Leach, C.A.; Hickey, D.M.B.; Pinto, I.L.; Smith, S.A.; Stanway, S.J. (GlaxoSmithKline plc)
来源:EP 1263740; JP 2003523335; US 2002103213; US 6649619; WO 0160805
合成路线图解说明:

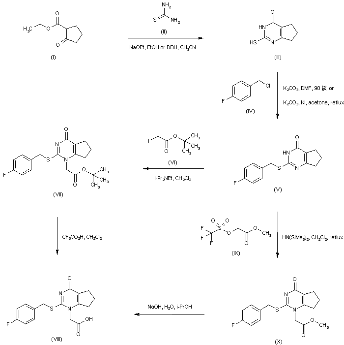
Condensation between ethyl 2-oxocyclopentanecarboxylate (I) and thiourea (II) gives rise to the thiouracil derivative (III) (1,2). This is then alkylated with 4-fluorobenzyl chloride (IV) to yield thioether (V). Subsequent alkylation of (V) with tert-butyl iodoacetate (VI) furnishes adduct (VII). Further acidic cleavage of the tert-butyl ester group of (VII) leads to carboxylic acid (VIII) (2,3). Alternatively, intermediate (VIII) is prepared by alkylation of (V) with triflate (IX), followed by alkaline hydrolysis of the resultant methyl ester (X)

合成路线图解说明:

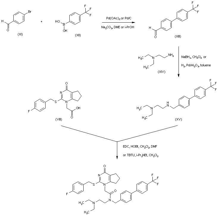
Suzuki coupling between 4-bromobenzaldehyde (XI) and 4-trifluoromethylbenzeneboronic acid (XII) affords the biphenylyl aldehyde (XIII). This is then reductively aminated with N,N-diethylethylenediamine (XIV) and NaBH4 to produce diamine (XV) (1,3). Finally, coupling between amine (XV) and carboxylic acid (VIII) leads to the title carboxamide

参考文献No.61468
标题:Novel processes
作者:Mulholland, K.R.; Ross, A.R.; Smith, G.E.; Slater, G.R. (GlaxoSmithKline plc)
来源:WO 0316287
合成路线图解说明:

Condensation between ethyl 2-oxocyclopentanecarboxylate (I) and thiourea (II) gives rise to the thiouracil derivative (III) (1,2). This is then alkylated with 4-fluorobenzyl chloride (IV) to yield thioether (V). Subsequent alkylation of (V) with tert-butyl iodoacetate (VI) furnishes adduct (VII). Further acidic cleavage of the tert-butyl ester group of (VII) leads to carboxylic acid (VIII) (2,3). Alternatively, intermediate (VIII) is prepared by alkylation of (V) with triflate (IX), followed by alkaline hydrolysis of the resultant methyl ester (X)

合成路线图解说明:

Suzuki coupling between 4-bromobenzaldehyde (XI) and 4-trifluoromethylbenzeneboronic acid (XII) affords the biphenylyl aldehyde (XIII). This is then reductively aminated with N,N-diethylethylenediamine (XIV) and NaBH4 to produce diamine (XV) (1,3). Finally, coupling between amine (XV) and carboxylic acid (VIII) leads to the title carboxamide

参考文献No.721219
标题:The identification of clinical candidate SB-480848: A potent inhibitor of lipoprotein-associated phospholipase A2
作者:Blackie, J.A.; Bloomer, J.C.; Brown, M.J.B.; Cheng, H.-Y.; Hammond, B.; Hickey, D.M.B.; Ife, R.J.; Leach, C.A.; Lewis, V. A.; Macphee, C.H.; Milliner, K.J.; Moores, K.E.; Pinto, I.L.; Smith, S.A.; Stansfield, I.G.; Stanway, S.J.; Taylor, M.A.; et al.
来源:Bioorg Med Chem Lett 2003,13(6),1067
合成路线图解说明:

Condensation between ethyl 2-oxocyclopentanecarboxylate (I) and thiourea (II) gives rise to the thiouracil derivative (III) (1,2). This is then alkylated with 4-fluorobenzyl chloride (IV) to yield thioether (V). Subsequent alkylation of (V) with tert-butyl iodoacetate (VI) furnishes adduct (VII). Further acidic cleavage of the tert-butyl ester group of (VII) leads to carboxylic acid (VIII) (2,3). Alternatively, intermediate (VIII) is prepared by alkylation of (V) with triflate (IX), followed by alkaline hydrolysis of the resultant methyl ester (X)

合成路线图解说明:

Suzuki coupling between 4-bromobenzaldehyde (XI) and 4-trifluoromethylbenzeneboronic acid (XII) affords the biphenylyl aldehyde (XIII). This is then reductively aminated with N,N-diethylethylenediamine (XIV) and NaBH4 to produce diamine (XV) (1,3). Finally, coupling between amine (XV) and carboxylic acid (VIII) leads to the title carboxamide

Drug Information Express,Drug R&D,Chemical Database,Patent Search.
Copyright © 2006-2026 Drug Future. All rights reserved.Contact Us