【药物名称】
化学结构式(Chemical Structure):
参考文献No.39974
标题:Purine derivs. and adenosine A2 receptor antagonists serving as preventives/remedies for diabetes
作者:Asano, O.; Hoshino, Y.; Kobayashi, S.; Nagata, K.; Harada, H.; Yoshikawa, S.; Nagaoka, J.; Inoue, T.; Horizoe, T.; Yasuda, N.; Murakami, M. (Eisai Co., Ltd.)
来源:EP 1054012; JP 1999263789; WO 9935147
合成路线图解说明:

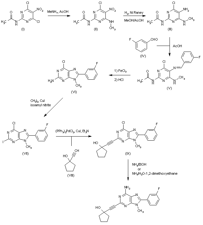
Treatment of substituted pyrimidine (I) with an aqueous solution of methylamine in HOAc/THF provides monomethylamino derivative (II), whose nitro group is hydrogenated over Ni-Raney in MeOH/HOAc to afford 5-amino compound (III). Condensation of (III) with aldehyde (IV) in HOAc/MeOH forms the Schiff base (V), which is converted into substituted purine (VI) by oxidative ring closure with FeCl3 in refluxing EtOH and posterior treatment with HCl in refluxing H2O/THF. Diazotization-substitution reaction of (VI) with diiodomethane, CuI and isoamyl nitrite in THF furnishes 2-iodo compound (VII), which is subjected to a cross-coupling reaction with alkyne (VIII) by means of bistriphenylphosphine palladium dichloride, cuprous iodide and Et3N in THF to afford 2-alkynyl compound (IX). Finally, the desired product is obtained by amination of (IX) with ammonia either in EtOH or in H2O/1,2-dimethoxyethane.

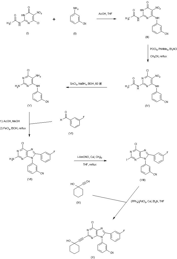
合成路线图解说明:

Condensation of chloropyrimidinone (I) with 3-aminobenzonitrile (II) produces the anilino pyrimidinone (III). This is subsequently chlorinated to chloropyrimidine (IV) by using phosphoryl chloride in the presence of N,N-dimethylaniline and tetraethylammonium chloride. Reduction of the nitro group of (IV) to amine (V) is performed by means of stannous chloride and sodium borohydride. Condensation of diaminopyrimidine (V) with 3-fluorobenzaldehyde (VI), followed by oxidative treatment with ferric chloride, furnishes the purine derivative (VII). Conversion of aminopurine (VII) to the iodo analogue (VIII) is achieved by diazotization with isoamyl nitrite in the presence of cuprous iodide and diiodomethane. Iodopurine (VIII) is then coupled to 1-ethynylcyclohexanol (IX) in the presence of palladium catalyst to give the disubstituted alkyne (X).

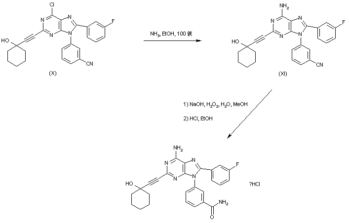
合成路线图解说明:

Displacement of the chloro group of (X) by means of ethanolic ammonia upon heating in a pressure vessel affords the amino purine (XI). The cyano group of (XI) is then hydrolyzed to the target amide with sodium peroxide, and the resultant compound is finally converted to the hydrochloride salt.

参考文献No.639760
标题:2-Alkynyl-8-aryladenines possessing an amide moiety: Their synthesis and structure-activity relationships of effects on hepatic glucose production induced via agonism of the A2B adenosine receptor
作者:Harada, H.; Asano, O.; Kawata, T.; Inoue, T.; Horizoe, T.; Yasuda, N.; Nagata, K.; Murakami, M.; Nagaoka, J.; Kobayashi, S.; Tanaka, I.; Abe, S.
来源:Bioorg Med Chem 2001,9(10),2709
合成路线图解说明:

Condensation of chloropyrimidinone (I) with 3-aminobenzonitrile (II) produces the anilino pyrimidinone (III). This is subsequently chlorinated to chloropyrimidine (IV) by using phosphoryl chloride in the presence of N,N-dimethylaniline and tetraethylammonium chloride. Reduction of the nitro group of (IV) to amine (V) is performed by means of stannous chloride and sodium borohydride. Condensation of diaminopyrimidine (V) with 3-fluorobenzaldehyde (VI), followed by oxidative treatment with ferric chloride, furnishes the purine derivative (VII). Conversion of aminopurine (VII) to the iodo analogue (VIII) is achieved by diazotization with isoamyl nitrite in the presence of cuprous iodide and diiodomethane. Iodopurine (VIII) is then coupled to 1-ethynylcyclohexanol (IX) in the presence of palladium catalyst to give the disubstituted alkyne (X).

合成路线图解说明:

Displacement of the chloro group of (X) by means of ethanolic ammonia upon heating in a pressure vessel affords the amino purine (XI). The cyano group of (XI) is then hydrolyzed to the target amide with sodium peroxide, and the resultant compound is finally converted to the hydrochloride salt.

Drug Information Express,Drug R&D,Chemical Database,Patent Search.
Copyright © 2006-2026 Drug Future. All rights reserved.Contact Us