【药物名称】
化学结构式(Chemical Structure):
参考文献No.539019
标题:Design, synthesis, and in vitro activity of catamphiphilic reverters of multidrug resistance: Discovery of a selective, highly efficacious chemosensitizer with potency in the nanomolar range
作者:Teodori, E.; Dei, S.; Quidu, P.; Budriesi, R.; Chiarini, A.; Garnier-Suillerot, A.; Gualtieri, F.; Manetti, D.; Romanelli, M.N.; Scapecchi, S.
来源:J Med Chem 1999,42(10),1687
合成路线图解说明:

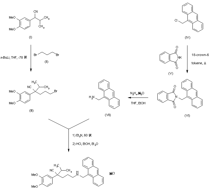
Reaction of 2-(3,4-dimethoxyphenyl)-3-methylbutyronitrile (I) with 1,3-dibromopropane (II) in the presence of n-butyllithium at -78 C provided bromonitrile (III). Alkylation of potassium phthalimide (V) with 9-(chloromethyl)anthracene (IV) yielded the N-alkylated phthalimide (VI), and subsequent hydrazinolysis gave the aminomethyl compound (VIII). Finally, amine (VIII) was alkylated with bromide (III) in Et3N at 60 C to produce the title compound, which was isolated as the corresponding hydrochloride salt.

合成路线图解说明:

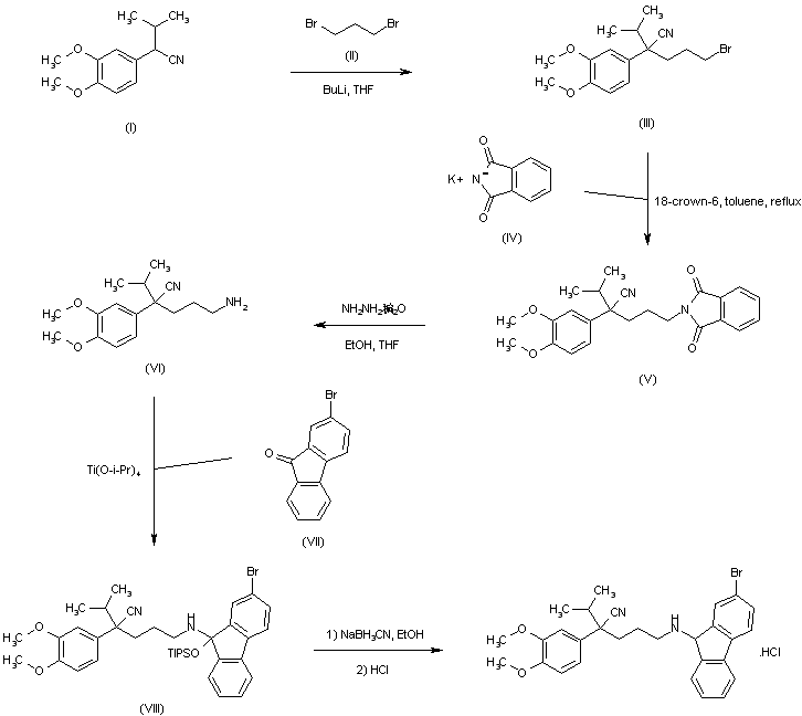
Alkylation of the lithium salt of 2-(3,4-dimethoxyphenyl)isobutyronitrile (I) with 1,3-dibromopropane (II) gave the bromo nitrile (III). Conversion of bromide (III) into the desired primary amine (VI) was achieved through a Gabriel synthesis by condensation with potassium phthalimide (IV), followed by hydrazinolysis of the resultant N-substituted phthalimide (V). A two-step procedure was finally employed for the reductive alkylation of amine (VI), consisting of condensation between amine (VI) and the bromo fluorenone (VII) in the presence of titanium isopropoxide and then reduction of the intermediate (VIII) with NaBH3CN.

参考文献No.639758
标题:Structure-activity relationships and optimisation of the selective MDR modulator 2-(3,4-dimethoxyphenyl)-5-(9-fluorenylamino)-2-(methylethyl) pentanenitrile and its N-methyl derivative
作者:Dei, S.; Teodori, E.; Garnier-Suillerot, A.; Gualtieri, F.; Scapecchi, S.; Budriesi, R.; Chiarini, A.
来源:Bioorg Med Chem 2001,9(10),2673
合成路线图解说明:

Alkylation of the lithium salt of 2-(3,4-dimethoxyphenyl)isobutyronitrile (I) with 1,3-dibromopropane (II) gave the bromo nitrile (III). Conversion of bromide (III) into the desired primary amine (VI) was achieved through a Gabriel synthesis by condensation with potassium phthalimide (IV), followed by hydrazinolysis of the resultant N-substituted phthalimide (V). A two-step procedure was finally employed for the reductive alkylation of amine (VI), consisting of condensation between amine (VI) and the bromo fluorenone (VII) in the presence of titanium isopropoxide and then reduction of the intermediate (VIII) with NaBH3CN.

合成路线图解说明:

The title amide is obtained by acylation of N,N-dimethyl-1,4-butanediamine (I) with 4-iodobenzoyl chloride (II) in the presence of Et3N in CH2Cl2.

Drug Information Express,Drug R&D,Chemical Database,Patent Search.
Copyright © 2006-2026 Drug Future. All rights reserved.Contact Us