【药物名称】NDBT
化学结构式(Chemical Structure):
参考文献No.639757
标题:Novel water-soluble diorganyl tellurides with thiol peroxidase and antioxidant activity
作者:Kanda, T.; Engman, L.; Cotgreave, I.A.; Powis, G.
来源:J Org Chem 2001,64(22),8161
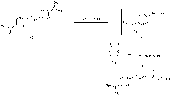
合成路线图解说明:

The title telluride compound was prepared by reduction of bis[4-(dimethylamino)phenyl]ditelluride (I) with NaBH4, followed by alkylation of the intermediate arenetellurolate sodium salt (II) with propanesultone (III) in hot EtOH.

Drug Information Express,Drug R&D,Chemical Database,Patent Search.
Copyright © 2006-2026 Drug Future. All rights reserved.Contact Us