【药物名称】NS-417
化学结构式(Chemical Structure):
参考文献No.25545
标题:AMPA antagonists and a method of treatment therewith
作者:W鋞jen, F.; Drejer, J. (NeuroSearch A/S)
来源:EP 0698025; JP 1996510221; US 5780493; US 5843945; WO 9426747
合成路线图解说明:

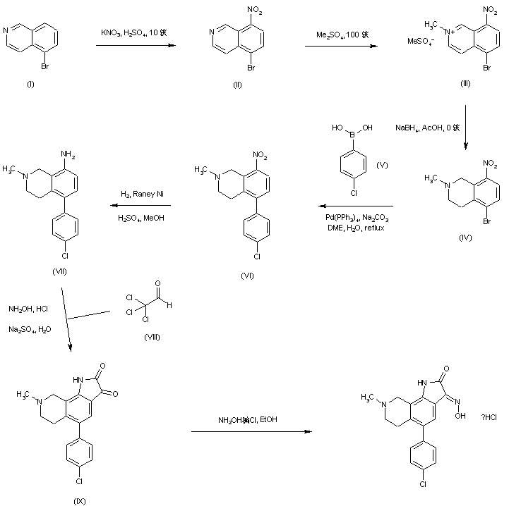
Nitration of 5-bromoisoquinoline (I) employing KNO3 in H2SO4 provides 5-bromo-8-nitroisoquinoline (II). Quaternization of isoquinoline (II) with dimethyl sulfate, followed by reduction of the resultant N-methyl isoquinolinium salt (III) with NaBH4 in cold HOAc furnishes the tetrahydroisoquinoline (IV). Subsequent Suzuki coupling between the bromotetrahydroisoquinoline (IV) and 4-chlorophenylboronic acid (V) yields the 5-aryl isoquinoline derivative (VI). The nitro group of (VI) is further reduced to amine (VII) by catalytic hydrogenation over Raney nickel. The key isatin compound (IX) is then obtained by condensation of amine (VII) with chloral (VIII) in the presence of hydroxylamine hydrochloride and sodium sulfate. Finally, isatin (IX) is converted to the desired oxime by treatment with hydroxylamine hydrochloride in EtOH.

参考文献No.50431
标题:Isatine derivs. with neurotrophic activity
作者:Moeller, A.; Peters, D.; Groenborg, M. (NeuroSearch A/S)
来源:EP 1255734; US 2003040518; WO 0155110
合成路线图解说明:

Nitration of 5-bromoisoquinoline (I) employing KNO3 in H2SO4 provides 5-bromo-8-nitroisoquinoline (II). Quaternization of isoquinoline (II) with dimethyl sulfate, followed by reduction of the resultant N-methyl isoquinolinium salt (III) with NaBH4 in cold HOAc furnishes the tetrahydroisoquinoline (IV). Subsequent Suzuki coupling between the bromotetrahydroisoquinoline (IV) and 4-chlorophenylboronic acid (V) yields the 5-aryl isoquinoline derivative (VI). The nitro group of (VI) is further reduced to amine (VII) by catalytic hydrogenation over Raney nickel. The key isatin compound (IX) is then obtained by condensation of amine (VII) with chloral (VIII) in the presence of hydroxylamine hydrochloride and sodium sulfate. Finally, isatin (IX) is converted to the desired oxime by treatment with hydroxylamine hydrochloride in EtOH.

合成路线图解说明:

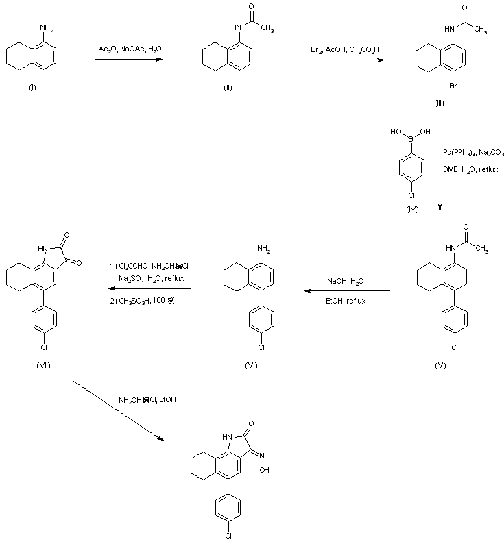
1-Amino-5,6,7,8-tetrahydronaphthalene (I) is protected as the corresponding acetamide (II) by treatment with Ac2O in the presence of NaOAc. Bromination of (II) with bromine in trifluoroacetic acid leads to (III). Then, Suzuki coupling between aryl bromide (III) and 4-chlorophenylboronic acid (IV) furnishes the aryl tetrahydronaphthalene (V). Acetamide hydrolysis in (V) under alkaline conditions provides amine (VI). Condensation of (VI) with chloral and hydroxylamine, followed by cyclization in hot methanesulfonic acid generates the isatin derivative (VII). This is finally converted to the title oxime upon treatment with hydroxylamine hydrochloride in ethanol.

Drug Information Express,Drug R&D,Chemical Database,Patent Search.
Copyright © 2006-2026 Drug Future. All rights reserved.Contact Us