【药物名称】A-320436
化学结构式(Chemical Structure):
参考文献No.51088
标题:Cyclic and bicyclic diamino histamine-3 receptor antagonists
作者:Black, L.A.; Faghih, R.; Bennani, Y.L.; Liu, H.; Zhang, H.Q.; Dwight, W.J.; Gentles, R.G.; Phelan, K.M.; Vasudevan, A. (Abbott Laboratories Inc.)
来源:WO 0166534
合成路线图解说明:

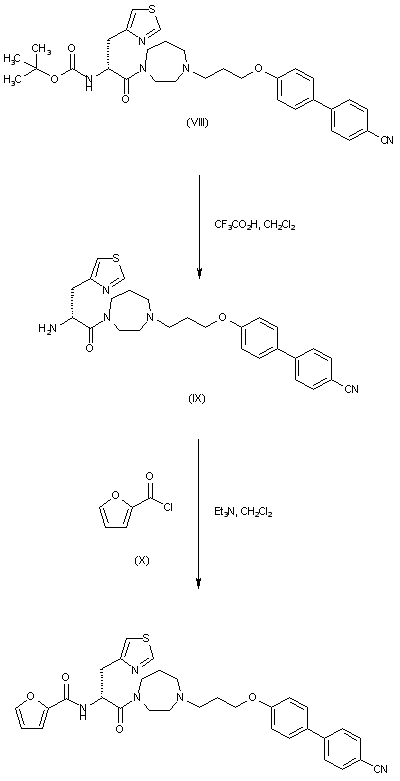
Alkylation of 4-cyano-4'-hydroxybiphenyl (I) with 1-bromo-3-chloropropane (II) yields the chloropropyl ether (III). This is then condensed with the mono-protected homopiperazine (IV) to furnish (V). Removal of the N-Boc group of (V) to afford amine (VI) is then accomplished by treatment with trifluoroacetic acid in CH2Cl2. Amine (VI) is subsequently coupled with N-Boc-D-thiazolylalanine (VII) in the presence of EDC/DMAP producing amide (VIII). (1,2)

合成路线图解说明:

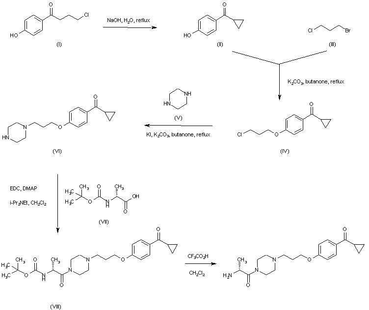
Acidic cleavage of the N-Boc group of (VIII) furnishes amine (IX). Finally, acylation of (IX) with 2-furoyl chloride (X) leads to the title compound. (1,2)

合成路线图解说明:

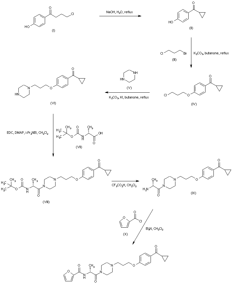
Intramolecular cyclization of p-hydroxy-4-chlorobutyrophenone (I) under alkaline conditions yields cyclopropyl(4-hydroxyphenyl) ketone (II). The phenolic hydroxyl group is then alkylated by 1-bromo-3-chloropropane (III) to furnish the chloropropyl ether (IV). Subsequent condensation of alkyl chloride (IV) with piperazine (V) gives rise to the N-substituted piperazine (VI). This is then coupled with N-Boc-L-alanine (VII) in the presence of EDC/DMAP to afford amide (VIII) (1, 2). After acidic cleavage of the N-Boc protecting group, the resultant monosubstituted piperazine (IX) is acylated by furanoyl chloride (X) to furnish the target furamide derivative

合成路线图解说明:

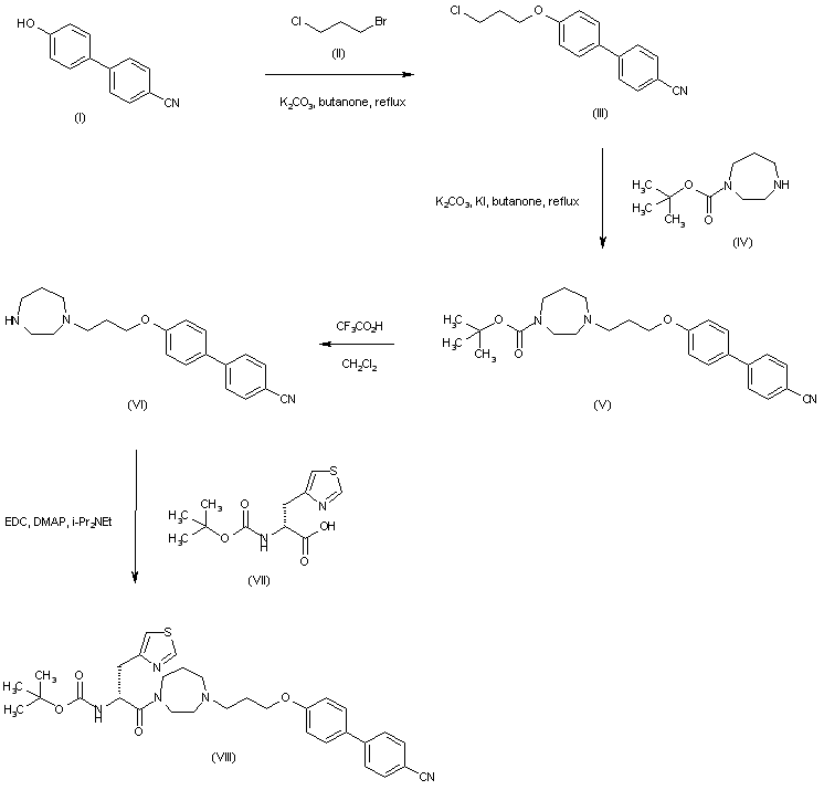
Cyclization of 4-chloro-4'-hydroxybutyrophenone (I) in the presence of 50% aqueous NaOH produces cyclopropyl (4-hydroxyphenyl) ketone (II). This is then alkylated with 1-bromo-3-chloropropane (III) to afford the chloropropyl ether (IV). Chloride displacement in (IV) with an excess of piperazine (V) in the presence of KI and K2CO3 furnishes the monosubstituted piperazine (VI). Subsequent coupling of piperazine (VI) with N-Boc-L-alanine (VII) leads to amide (VIII). Finally, Boc group cleavage in (VIII) employing trifluoroacetic acid yields the title compound (1-3).

参考文献No.721741
标题:A-320436: Potent human non-imidazole histamine H3 receptor antagonist
作者:Curtis, M.P.; Dwight, W.; Fox, G.B.; Esbenshade, T.A.; Pan, J-B.; Bennani, Y.L.; Hancock, A.A.; Faghih, R.
来源:225th ACS Natl Meet (March 23 2003, New Orleans) 2003,Abst MEDI 240
合成路线图解说明:

Alkylation of 4-cyano-4'-hydroxybiphenyl (I) with 1-bromo-3-chloropropane (II) yields the chloropropyl ether (III). This is then condensed with the mono-protected homopiperazine (IV) to furnish (V). Removal of the N-Boc group of (V) to afford amine (VI) is then accomplished by treatment with trifluoroacetic acid in CH2Cl2. Amine (VI) is subsequently coupled with N-Boc-D-thiazolylalanine (VII) in the presence of EDC/DMAP producing amide (VIII). (1,2)

合成路线图解说明:

Acidic cleavage of the N-Boc group of (VIII) furnishes amine (IX). Finally, acylation of (IX) with 2-furoyl chloride (X) leads to the title compound. (1,2)

Drug Information Express,Drug R&D,Chemical Database,Patent Search.
Copyright © 2006-2026 Drug Future. All rights reserved.Contact Us