【药物名称】WMC-79
化学结构式(Chemical Structure):
参考文献No.51093
标题:1,8-Naphthalimide imidazo[4,5,1-de]acridones with anti-tumor activity
作者:Cholody, W.M.; Michejda, C.J.; Kosakowska-Cholody, T. (US Department of Health & Human Services)
来源:WO 0166545
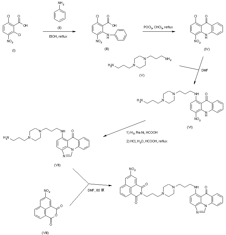
合成路线图解说明:

2,6-Dichloro-3-nitrobenzoic acid (I) was condensed with aniline (II) to produce the anilinobenzoic acid (III), which was subsequently cyclized to the acridinone (IV) upon treatment with POCl3. Displacement of the chloride group of (IV) with 1,4-bis(3-aminopropyl)piperazine (V) in DMF afforded adduct (VI). The nitro group of (VI) was reduced by catalytic hydrogenation in the presence of Raney-Ni and formic acid, and the intermediate formamide was further cyclized under acidic conditions to the imidazoacridinone (VII). Finally, conversion of the primary amino group of (VII) to the target imide was achieved by heating with 3-nitro-1,8-naphthalenedicarboxylic anhydride (VIII) in DMF.

Drug Information Express,Drug R&D,Chemical Database,Patent Search.
Copyright © 2006-2026 Drug Future. All rights reserved.Contact Us