【药物名称】4-Bbz-put
化学结构式(Chemical Structure):
参考文献No.637009
标题:N'-Benzylpolyamines as vectors of boron and fluorine for cancer therapy and imaging: Synthesis and biological evaluation
作者:Martin, B.; Posseme, F.; Le Barbier, C.; Carreaux, F.; Carboni, B.; Seiler, N.; Moulinoux, J.P.; Delcros, J.G.
来源:J Med Chem 2001,44(22),3653
合成路线图解说明:

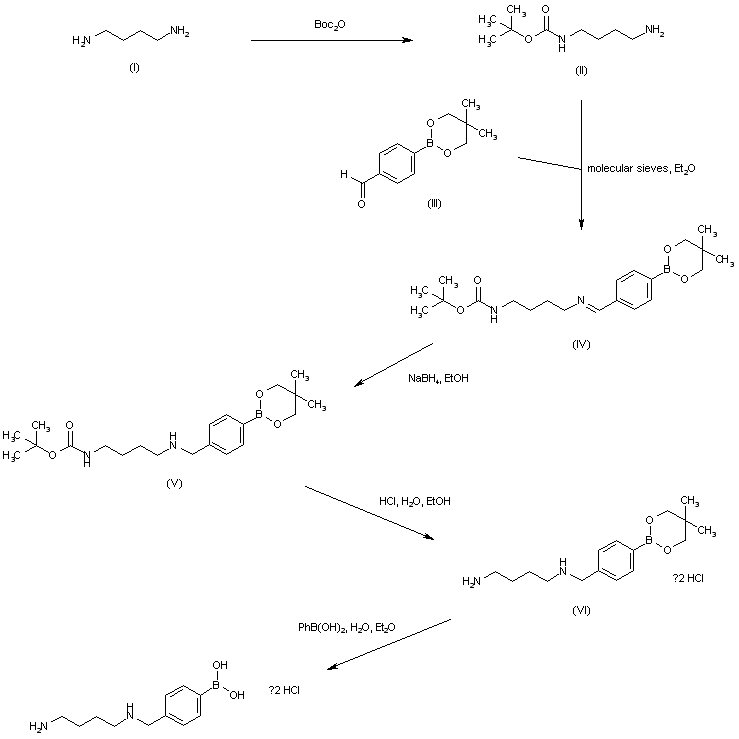
The mono-Boc-protected diamine (II) was obtained by reaction of 1,4-diaminobutane (I) with Boc2O. Reductive alkylation of (II) to the benzylic amine (V) was carried out in a two-step procedure consisting in condensation of amine (II) with the formyl boronic ester (III) in the presence of molecular sieves, followed by reduction of the resultant imine (IV) with NaBH4. The N-Boc protecting group of (V) was then removed by acidic treatment, yielding diamine (VI). The title boronic acid was finally obtained by boronate ester exchange in (VI) with phenylboronic acid in a two-phase system.

Drug Information Express,Drug R&D,Chemical Database,Patent Search.
Copyright © 2006-2026 Drug Future. All rights reserved.Contact Us