【药物名称】
化学结构式(Chemical Structure):
参考文献No.637024
标题:Design, synthesis, and biological evaluation of novel nucleoside and nucleotide analogues as agents against DNA viruses and/or retroviruses
作者:Hakimelahi, G.H.; Ly, T.W.; Moosavi-Movahedi, A.A.; Jain, M.L.; Zakerinia, M.; Davari, H.; Mei, H.C.; Sambaiah, T.; Moshfegh, A.A.; Hakimelahi, S.
来源:J Med Chem 2001,44(22),3710
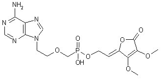
合成路线图解说明:

The condensation of 9-[2-(phosphonomethoxy)ethyl]adenine (I) with butenolide (II) by means of NaHCO3 in hot DMF gives the target phosphonate monoester.

Drug Information Express,Drug R&D,Chemical Database,Patent Search.
Copyright © 2006-2026 Drug Future. All rights reserved.Contact Us