【药物名称】(R)-Roscovitine, CYC-202
化学结构式(Chemical Structure):
参考文献No.33559
标题:Novel purine derivs. having, in particular, antiproliferative properties, and biological uses thereof
作者:Meijer, L.; Bisagni, E.; Legraverend, M. (CNRS (Centre National de la Recherche Scientifique))
来源:EP 0874847; FR 2741881; JP 2000501408; US 2002049218; US 6316456; WO 9720842
合成路线图解说明:

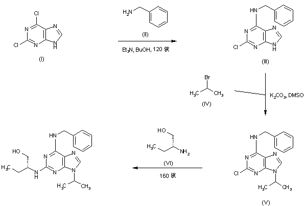
Condensation of 2,6-dichloropurine (I) with benzylamine (II) in boiling butanol afforded 6-(benzylamino)-2-chloropurine (III), which was subsequently alkylated at the 9-N with isopropyl bromide (IV), yielding purine (V). The 2-chloro group was finally displaced with (R)-2-amino-1-butanol (VI) in a sealed tube at 160 C to provide the title compound.

参考文献No.689052
标题:Cytokinin-derived cyclin-dependent kinase inhibitors: Synthesis and cdc2 inhibitory activity of olomoucine and related compounds
作者:Havl韈ek, L.; Hanus, J.; Vesely, J.; Leclerc, S.; Meijer, L.; Shaw, G.; Strnad, M.
来源:J Med Chem 1997,40(4),408
合成路线图解说明:

Condensation of 2,6-dichloropurine (I) with benzylamine (II) in boiling butanol afforded 6-(benzylamino)-2-chloropurine (III), which was subsequently alkylated at the 9-N with isopropyl bromide (IV), yielding purine (V). The 2-chloro group was finally displaced with (R)-2-amino-1-butanol (VI) in a sealed tube at 160 C to provide the title compound.

参考文献No.689053
标题:Synthesis and configuration of the cyclin-dependent kinase inhibitor roscovitine and its enantiomer
作者:Wang, S.; et al.
来源:Tetrahedron Asymmetry 2001,12(20),2891
合成路线图解说明:

Condensation of 2,6-dichloropurine (I) with benzylamine (II) in boiling butanol afforded 6-(benzylamino)-2-chloropurine (III), which was subsequently alkylated at the 9-N with isopropyl bromide (IV), yielding purine (V). The 2-chloro group was finally displaced with (R)-2-amino-1-butanol (VI) in a sealed tube at 160 C to provide the title compound.

Drug Information Express,Drug R&D,Chemical Database,Patent Search.
Copyright © 2006-2026 Drug Future. All rights reserved.Contact Us