【药物名称】
化学结构式(Chemical Structure):
参考文献No.636915
标题:alpha-Amino-beta-sulphone hydroxamates as potent MMP-13 inhibitors that spare MMP-1
作者:Becker, D.P.; Barta, T.E.; Bedell, L.; DeCrescenzo, G..; Freskos, J.N.; Getman, D.P.; Hockerman, S.L.; Li, M.; Mehta, P.; Mischke, B.V.; Munie, G.E.; Swearingen, C.; Villamil, C.I.
来源:Bioorg Med Chem Lett 2001,11(20),2719
合成路线图解说明:

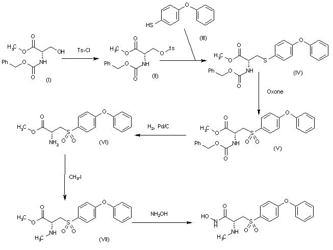
The reaction of N-(benzyloxycarbonyl)-L-serine methyl ester (I) with Ts-Cl gives the corresponding tosylate (II), which is condensed with 4-phenoxythiophenol (III) to yield the thioether (IV). The oxidation of (IV) with Oxone affords the sulfone (V), which is N-deprotected with H2 over Pd/C to provide compound (VI) with a free amino group. The methylation of (VI) with methyl iodide gives the N-methyl derivative (VII), which is finally treated with hydroxylamine to afford the target hydroxamic acid.

Drug Information Express,Drug R&D,Chemical Database,Patent Search.
Copyright © 2006-2026 Drug Future. All rights reserved.Contact Us