【药物名称】AP-23317
化学结构式(Chemical Structure):
参考文献No.57815
标题:Purine derivs.
作者:Weigele, M.; Sawyer, T.K.; Wang, Y.; Shakespeare, W.C.; Bohacek, R.; Sundaramoorthi, R.; Metcalf, C.A. III; Dalgarno, D.C. (Ariad Pharmaceuticals Inc.)
来源:US 2002068721
合成路线图解说明:

2-Amino-6-chloropurine (I) is converted into the 2-fluoro analogue (II) by diazotization in the presence of fluoroboric acid. Subsequent alkylation of (II) with EtOH under Mitsunobu conditions provides the 9-ethyl purine (III).

合成路线图解说明:

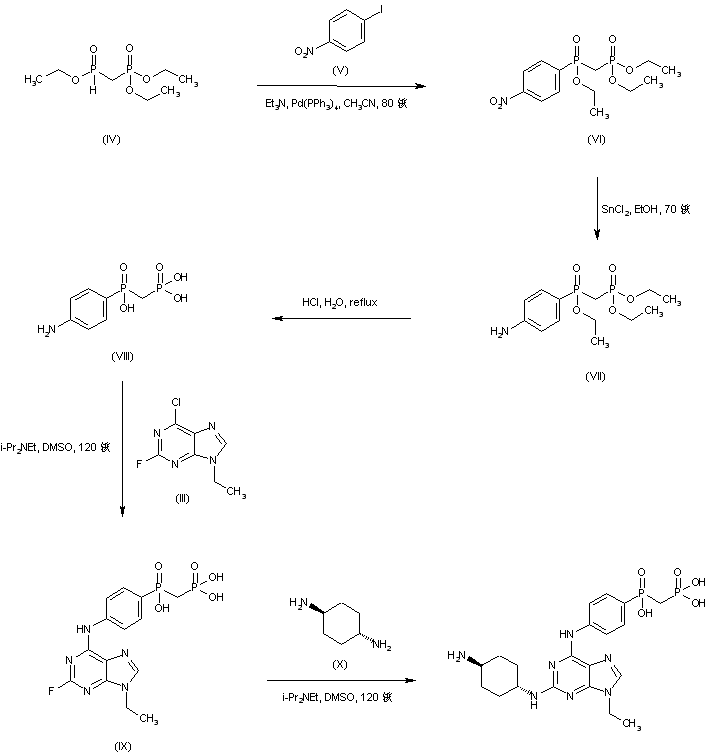
Reaction of phosphinylmethyl phosphonate (IV) with 1-iodo-4-nitrobenzene (V) in the presence of Pd(PPh3)4 affords the nitrophenyl phosphinoyl derivative (VI). Reduction of the nitro group of (VI) to the corresponding aniline (VII) is accomplished by treatment with SnCl2 in ethanol. Then, hydrolysis of the triethyl ester (VII) under acidic conditions furnishes phosphonic acid (VIII). Displacement of the 6-chloro group of purine (III) with the aminophenyl phosphonic acid (VIII) in hot DMSO gives rise to the 6-anilino purine (IX). Finally, displacement of the remaining halogen atom of (IX) with trans-1,4-diaminocyclohexane (X) leads to the title 2,6-diaminopurine compound.

参考文献No.57816
标题:Novel purines
作者:Weigele, M.; Sawyer, T.K.; Wang, Y.; Shakespeare, W.; Bohacek, R.; Sundaramoorthi, R.; Metcalf, C.A. III (Ariad Pharmaceuticals Inc.)
来源:WO 0144260
合成路线图解说明:

2-Amino-6-chloropurine (I) is converted into the 2-fluoro analogue (II) by diazotization in the presence of fluoroboric acid. Subsequent alkylation of (II) with EtOH under Mitsunobu conditions provides the 9-ethyl purine (III).

合成路线图解说明:

Reaction of phosphinylmethyl phosphonate (IV) with 1-iodo-4-nitrobenzene (V) in the presence of Pd(PPh3)4 affords the nitrophenyl phosphinoyl derivative (VI). Reduction of the nitro group of (VI) to the corresponding aniline (VII) is accomplished by treatment with SnCl2 in ethanol. Then, hydrolysis of the triethyl ester (VII) under acidic conditions furnishes phosphonic acid (VIII). Displacement of the 6-chloro group of purine (III) with the aminophenyl phosphonic acid (VIII) in hot DMSO gives rise to the 6-anilino purine (IX). Finally, displacement of the remaining halogen atom of (IX) with trans-1,4-diaminocyclohexane (X) leads to the title 2,6-diaminopurine compound.

参考文献No.57817
标题:Purine derivs.
作者:Weigele, M.; Sawyer, T.K.; Wang, Y.; Shakespeare, W.C.; Bohacek, R.; Sundaramoorthi, R.; Metcalf, C.A. III; Dalgarno, D.C. (Ariad Pharmaceuticals Inc.)
来源:WO 0144259
合成路线图解说明:

2-Amino-6-chloropurine (I) is converted into the 2-fluoro analogue (II) by diazotization in the presence of fluoroboric acid. Subsequent alkylation of (II) with EtOH under Mitsunobu conditions provides the 9-ethyl purine (III).

合成路线图解说明:

Reaction of phosphinylmethyl phosphonate (IV) with 1-iodo-4-nitrobenzene (V) in the presence of Pd(PPh3)4 affords the nitrophenyl phosphinoyl derivative (VI). Reduction of the nitro group of (VI) to the corresponding aniline (VII) is accomplished by treatment with SnCl2 in ethanol. Then, hydrolysis of the triethyl ester (VII) under acidic conditions furnishes phosphonic acid (VIII). Displacement of the 6-chloro group of purine (III) with the aminophenyl phosphonic acid (VIII) in hot DMSO gives rise to the 6-anilino purine (IX). Finally, displacement of the remaining halogen atom of (IX) with trans-1,4-diaminocyclohexane (X) leads to the title 2,6-diaminopurine compound.

Drug Information Express,Drug R&D,Chemical Database,Patent Search.
Copyright © 2006-2026 Drug Future. All rights reserved.Contact Us