【药物名称】
化学结构式(Chemical Structure):
参考文献No.628426
标题:Serine-threonine protein phosphatase inhibitors derived from nodularin: Role of the 2-methyl and 3-diene groups in the Adda residue and the effect of macrocyclic conformational restraint
作者:O'Donnell, M.E.; et al.
来源:J Chem Soc - Perkins Trans I 2001,(14),1696
合成路线图解说明:

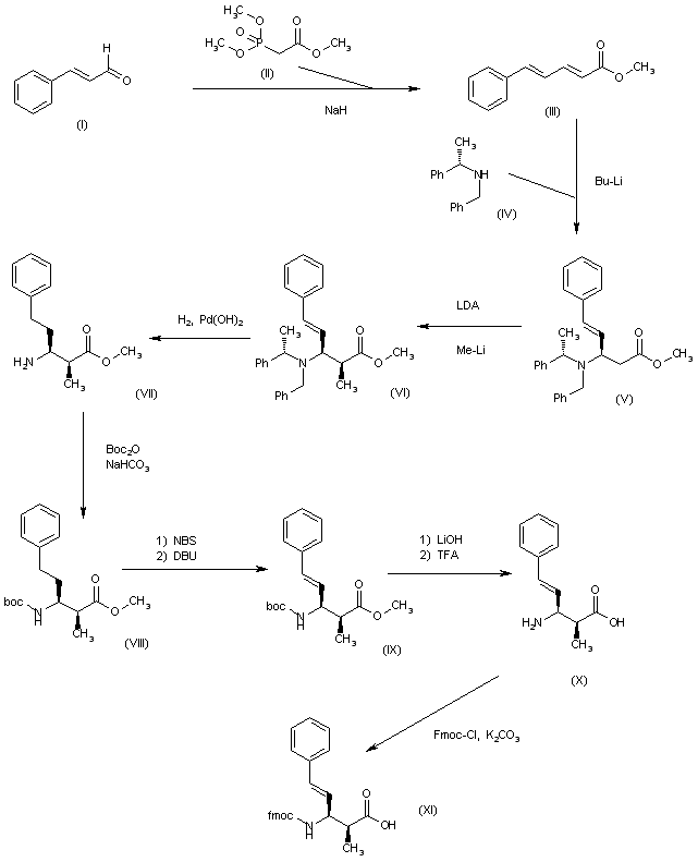
The synthesis of the intermediate (S,S)-3-(Fmoc-amino)-2-methyl-5-phenyl-4-pentenoic acid (XI) has been performed as follows: The Horner-Wadsworth-Emmons condensation of cinnamaldehyde (I) with phosphonate (II) by means of NaH in THF gives (E,E)-5-phenyl-2,4-pentadienoic acid ethyl ester (III), which is condensed with (S)-N-benzyl-N-(alpha-methylbenzyl)amine (IV) by means of BuLi in THF to yield the chiral adduct (V). The reaction of (V) with LDA affords the corresponding lithium enolate, which is methylated with methyl iodide in THF to afford the enantioselectively methylated compound (VI). The hydrogenation of (VI) with H2 over Pd(OH)2 in methanol/water/HOAc provides (S,S)-3-amino-2-methyl-5-phenylpentanoic acid methyl ester (VII), which is treated with Boc2O and NaHCO3 in dioxane/water to give the N-protected ester (VIII). The reaction of (VIII) with NBS in CCl4, followed by treatment with DBU at 60 C, yields the pentenoic ester derivative (IX), which is treated first with LiOH and then with TFA to provide (S,S)-3-amino-2-methyl-5-phenyl-4-pentanoic acid (X). Finally, this compound is N-protected by reaction with Fmoc-Cl and K2CO3 in dioxane/water to furnish the target pentenoic acid intermediate (XI).

合成路线图解说明:

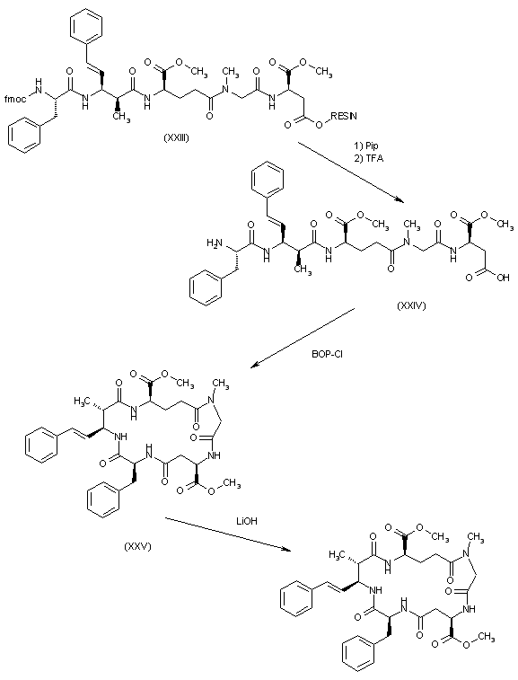
The deprotection of Wang-RESIN-coupled N-Fmoc-D-aspartic acid alpha-methyl ester (XII) with piperidine in DMF gives the free RESIN-coupled aspartic acid monoester (XIII), which is condensed with N-Fmoc-sarcosine (XIV) by means of PyBOP in DMF to yield the dipeptide (XV). Deprotection with piperidine affords (XVI), and coupling with PyBOP was repeated with the L-glutamate (XVII) to afford tripeptide (XVIII); with deprotected (XIX) and the intermediate amino acid (XI) to provide tetrapeptide (XX); and with deprotected (XXI) and -Fmoc-L-phenylalanine (XXII) to furnish finally the protected RESIN-bounded pentapeptide (XXIII).

合成路线图解说明:

The reaction of (XXIII) with piperidine deprotects the terminal NH2 group, and treatment with TFA cleaves the resin bond, leaving the free pentapeptide (XXIV). The cyclization of (XXIV) by means of BOP-Cl and DIEA in DMF/dichloromethane gives the cyclic pentapeptide dimethyl ester (XXV), which is finally hydrolyzed with LiOH in THF/water to afford the target cyclic pentapeptide.

Drug Information Express,Drug R&D,Chemical Database,Patent Search.
Copyright © 2006-2026 Drug Future. All rights reserved.Contact Us