【药物名称】GR-377
化学结构式(Chemical Structure):
参考文献No.32257
标题:Mono- and disulfo-substd. anthraquinones and their use for the treatment of bone matrix disorders
作者:Benetti, D.; Aloisi, R.; Guainai, G.; Rosini, S. (Istituto Gentili SpA)
来源:WO 9700675
合成路线图解说明:

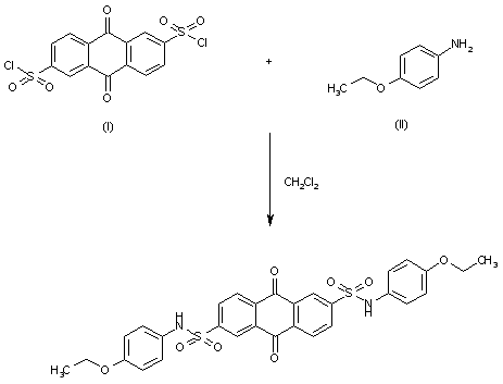
The title bis-sulfonamide was obtained by condensation of anthraquinone-2,6-disulfonyl chloride (I) with p-phenetidine in CH2Cl2.

Drug Information Express,Drug R&D,Chemical Database,Patent Search.
Copyright © 2006-2026 Drug Future. All rights reserved.Contact Us