【药物名称】
化学结构式(Chemical Structure):
参考文献No.635798
标题:Discovery of macrocyclic hydroxamic acids containing biphenylmethyl derivatives at P1', a series of selective TNF-alpha converting enzyme inhibitors with potent cellular activity in the inhibition of TNF-alpha release
作者:Xue, C.-B.; He, X.; Corbett, R.L.; Roderick, J.; Wasserman, Z.R.; Liu, R.Q.; Jaffee, B.D.; Covington, M.B.; Qian, M.; Trzaskos, J.M.; Newton, R.C.; Magolda, R.L.; Wexler, R.R.; Decicco, C.P.
来源:J Med Chem 2001,44(21),3351
合成路线图解说明:

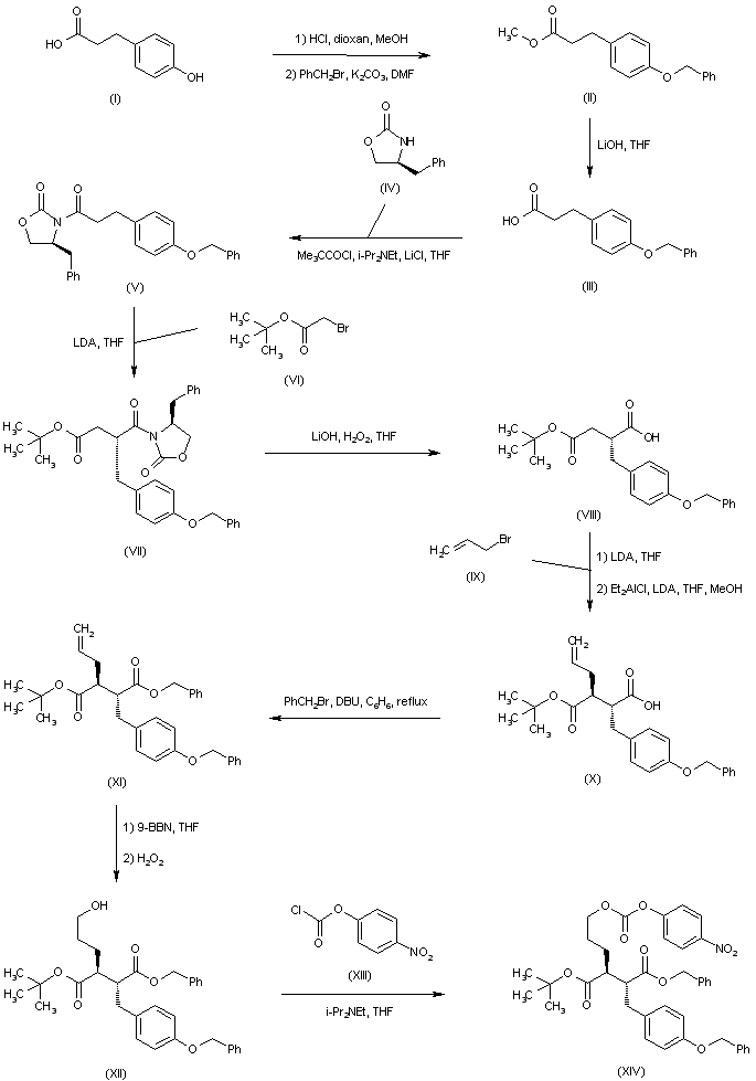
Esterification of 3-(4-hydroxyphenyl)propionic acid (I), followed by alkylation of the phenolic hydroxyl, provided methyl 3-(4-benzyloxyphenyl)propionate (II), which was hydrolyzed to the corresponding carboxylic acid (III) by means of LiOH. Coupling of carboxylic acid (III) with the chiral auxiliary (S)-4-benzyl-2-oxazolidinone (IV) gave the oxazolide (V), which was subjected to diastereoselective alkylation with tert-butyl bromoacetate (VI), yielding (VII). Subsequent removal of the chiral auxiliary group of (VII) using lithium hydroperoxide afforded the (R)-acid (VIII). Alkylation of the dianion of acid (VIII) with allyl bromide (IX) and further epimerization in the presence of LDA and Et2AlCl furnished the anti-dialkylated succinate (X). The carboxyl group of (X) was then alkylated using benzyl bromide and DBU to produce the corresponding benzyl ester (XI). Olefin (XI) hydroboration followed by oxidative work-up gave rise to the primary alcohol (XII). This was acylated with 4-nitrophenyl chloroformate (XIII) to provide the activated carbonate (XIV).

合成路线图解说明:

Condensation of carbonate (XIV) with N-alpha-Cbz-lysine methyl ester (XV) afforded the carbamate (XVI). The benzyl ester and N-Cbz protecting groups of (XVI) were then removed by catalytic hydrogenolysis, yielding amino acid (XVII), which was subjected to intramolecular cyclization in the presence of BOP to furnish the macrocyclic compound (XVIII). After conversion of the phenolic hydroxyl of (XVIII) to the aryl triflate (XIX), Suzuki coupling with 2-(trifluoromethyl)phenylboronic acid (XX) provided the biphenyl derivative (XXI).

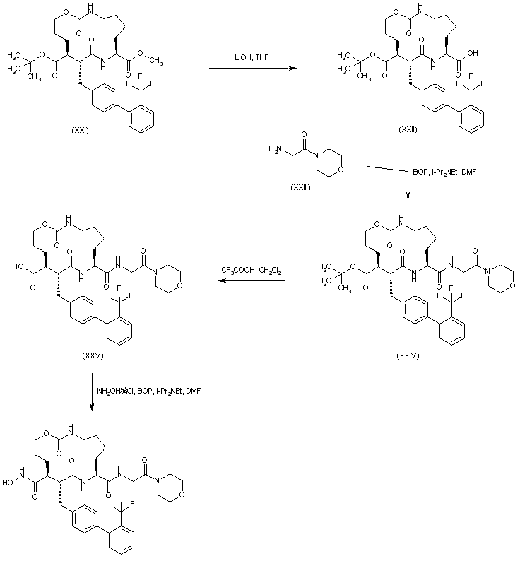
合成路线图解说明:

Saponification of the methyl ester (XXI) using LiOH gave the carboxylic acid (XXII). This was coupled with the glycine amide (XXIII) to produce adduct (XXIV). The desired hydroxamic acid was then obtained by trifluoroacetic acid-promoted cleavage of the tert-butyl ester of (XXIV), followed by coupling of the resulting carboxylic acid (XXV) with hydroxylamine.

Drug Information Express,Drug R&D,Chemical Database,Patent Search.
Copyright © 2006-2026 Drug Future. All rights reserved.Contact Us