【药物名称】
化学结构式(Chemical Structure):
参考文献No.624017
标题:Orally active antithrombotic thioglycosides, Part XIII - Conversion of 2,6-anhydro-D-altrose and -mannose derivatives with 4-substituted phenyl thiols to prepare compounds with potential antithrombotic activity
作者:Bozo, E.; Boros, S.; Kuszmann, J.
来源:Carbohydr Res 2001,332(3),325
合成路线图解说明:

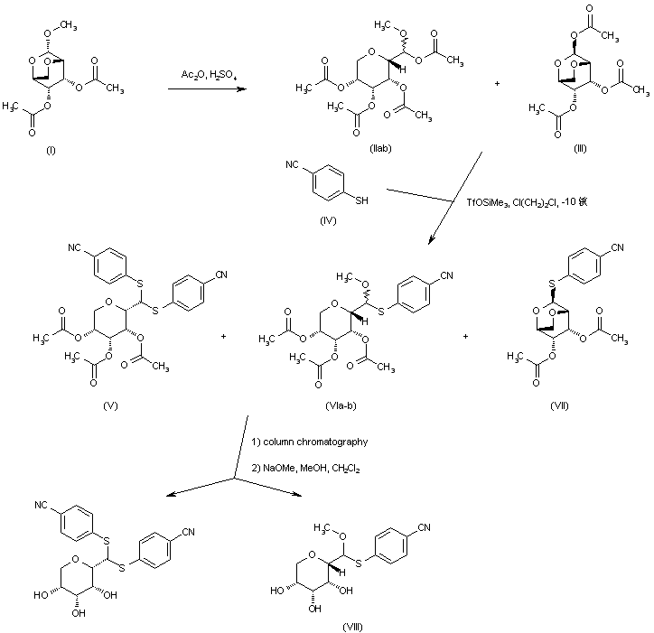
Treatment of the known methyl 3,4-di-O-acetyl-2,6-anhydro-alpha-D-altropyranoside (I) with acetic anhydride in the presence of sulfuric acid resulted in an inseparable mixture of the two diastereomers of methyl 2,6-anhydro-D-altrose tetraacetate (IIa-b) and 1,3,4-tri-O-acetyl-2,6-anhydro-beta-D-altropyranoside (III). Reaction of this mixture with 4-sulfanylbenzonitrile (IV) in the presence of trimethylsilyl triflate produced a mixture of compounds (V), (VIa-b) and (VII) that could be partially separated by column chromatography affording a 2:1 mixture of dithioketal (V) and one of the diastereoisomers of the monothioketal (VI). Deacetylation of this mixture by means of NaOMe produced the corresponding mixture of the title compound and monothioketal (VIII), which were finally separated by column chromatography.

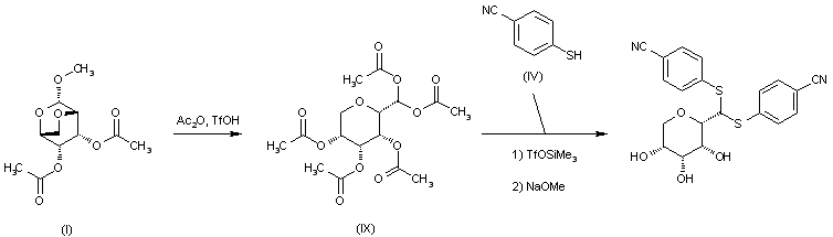
合成路线图解说明:

A different method, amenable to large-scale synthesis, was further developed. Methyl 3,4-di-O-acetyl-2,6-anhydro-alpha-D-altropyranoside (I) was converted into the pentaacetate (IX) with acetic anhydride in the presence of trimethylsilyl triflate. Coupling of acylal (IX) with 4-cyanobenzenethiol (IV) produced the corresponding dithioketal, which was subsequently deacetylated with NaOMe to furnish the title compound.

Drug Information Express,Drug R&D,Chemical Database,Patent Search.
Copyright © 2006-2026 Drug Future. All rights reserved.Contact Us