【药物名称】
化学结构式(Chemical Structure):
参考文献No.633136
标题:Synthesis of a dexamethasone-21-maleimido-linked derivative as a potential molecule for specific gene delivery
作者:Bernasconi, A.; et al.
来源:Tetrahedron Lett 2001,42(37),6511
合成路线图解说明:

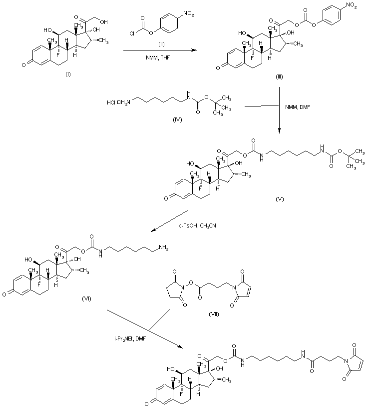
Esterification of the primary hydroxyl group of dexamethasone (I) by treatment with 4-nitrophenyl chloroformate (II) in the presence of N-methylmorpholine afforded the nitrophenyl carbonate (III). Condensation of the active ester (III) with mono-N-Boc-1,6-diaminohexane (IV) produced carbamate (V). After acidic deprotection of the Boc group, the resultant amine (VI) was acylated with succinimidyl 4-maleimidobutyrate (VII), yielding the title amide.

Drug Information Express,Drug R&D,Chemical Database,Patent Search.
Copyright © 2006-2026 Drug Future. All rights reserved.Contact Us