【药物名称】
化学结构式(Chemical Structure):
参考文献No.635132
标题:Synthesis of diaminobutane derivatives as potent Ca2+-permeable AMPA receptor antagonists
作者:Yoneda, Y.; Kawajiri, S.; Sugimura, M.; Osanai, K.; Kito, F.; Ota, E.; Mimura, T.
来源:Bioorg Med Chem Lett 2001,11(19),2663
合成路线图解说明:

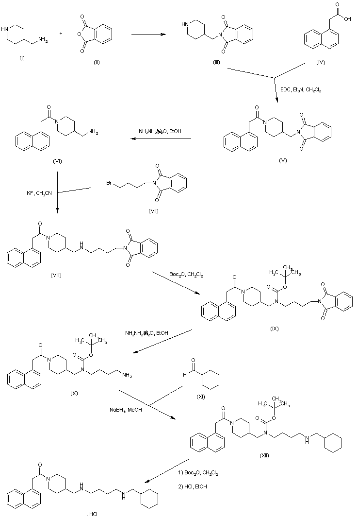
The primary amino group of 4-(aminomethyl)piperidine (I) was protected by conversion to the phthalimide (III) upon heating with phthalic anhydride (II). After coupling of piperidine (III) with 1-naphthylacetic acid (IV) to give amide (V), hydrazinolysis of the phthalimido group of (V) liberated the primary amine (VI). Alkylation of (VI) with N-(4-bromobutyl)phthalimide (VII) furnished the secondary amine (VIII), which was further protected with a tert-butoxycarbonyl group to provide (IX). The phthaloyl group of (IX) was then removed by hydrazinolysis, yielding amine (X). This was subjected to reductive alkylation with cyclohexanecarboxaldehyde (XI) in the presence of NaBH4 to afford the cyclohexylmethyl amine (XII). After purification as the di-Boc derivative, acid cleavage of the tert-butyl carbamate groups provided the title compound.

参考文献No.668524
标题:Discovery of diaminobutane derivatives as Ca2+ -permeable AMPA receptor antagonists
作者:Yoneda, Y.; Mimura, T.; Kawagoe, K.; Yasukouchi, T.; Tatematu, T.; Ito, M.; Saito, M.; Sugimura, M.; Kito, F.; Kawajiri, S.
来源:Bioorg Med Chem 2002,10(5),1347
合成路线图解说明:

The primary amino group of 4-(aminomethyl)piperidine (I) was protected by conversion to the phthalimide (III) upon heating with phthalic anhydride (II). After coupling of piperidine (III) with 1-naphthylacetic acid (IV) to give amide (V), hydrazinolysis of the phthalimido group of (V) liberated the primary amine (VI). Alkylation of (VI) with N-(4-bromobutyl)phthalimide (VII) furnished the secondary amine (VIII), which was further protected with a tert-butoxycarbonyl group to provide (IX). The phthaloyl group of (IX) was then removed by hydrazinolysis, yielding amine (X). This was subjected to reductive alkylation with cyclohexanecarboxaldehyde (XI) in the presence of NaBH4 to afford the cyclohexylmethyl amine (XII). After purification as the di-Boc derivative, acid cleavage of the tert-butyl carbamate groups provided the title compound.

Drug Information Express,Drug R&D,Chemical Database,Patent Search.
Copyright © 2006-2026 Drug Future. All rights reserved.Contact Us