【药物名称】CP-664511
化学结构式(Chemical Structure):
参考文献No.635124
标题:Isoxazolyl, oxazolyl, and thiazolylpropionic acid derivatives as potent alpha4beta1 integrin antagonists
作者:Duplantier, A.J.; Beckius, G.E.; Chambers, R.J.; Chupak, L.S.; Jenkinson, T.H.; Klein, A.S.; Kraus, K.G.; Kudlacz, E.M.; McKechney, M.W.; Pettersson, M.P.; Whitney, C.A.; Milici, A.J.
来源:Bioorg Med Chem Lett 2001,11(19),2593
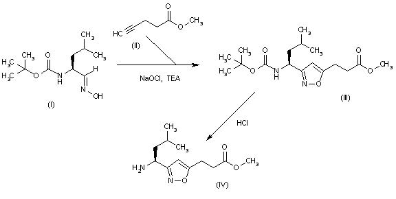
合成路线图解说明:

The isoxazolepropionate intermediate (IV) has been obtained as follows: The cyclization of N-(tert-butoxycarbonyl)-L-leucinal oxime (I) with 4-pentynoic acid methyl ester (II) by means of NaOCl and TEA in dichloromethane gives the protected isoxazole derivative (III), which is then treated with Cl in dioxane to afford the desired isoxazole intermediate (IV).

合成路线图解说明:

The condensation of 5-chloro-2-nitroanisole (V) with diethyl malonate (VI) by means of NaH in hot DMF gives 2-(3-methoxy-4-nitrophenyl)malonic acid diethyl ester (VII), which is reduced with H2 over Pd/C in ethyl acetate, yielding the corresponding amino derivative (VIII). The condensation of (VIII) with 2-methylphenyl isocyanate (IX) by means of TEA in dichloromethane affords the expected urea (X), which is submitted to a decarboxylative hydrolysis with NaOH in refluxing tert-butanol to provide the phenylacetic acid (XI). The condensation of acetic acid (XI) with the amino group of the isoxazole intermediate (IV) by means of HOBt, DIEA and EDC in DMF gives the amide (XII), which is treated with NaOH in tert-butanol to afford the target propionic acid.

Drug Information Express,Drug R&D,Chemical Database,Patent Search.
Copyright © 2006-2026 Drug Future. All rights reserved.Contact Us