【药物名称】Sufosfamide, 036.5122, Asta 5122
化学结构式(Chemical Structure):
参考文献No.803970
标题:Sufosfamide
作者:Casta馿r, J.; Hillier, K.
来源:Drugs Fut 1977,2(5),339
合成路线图解说明:

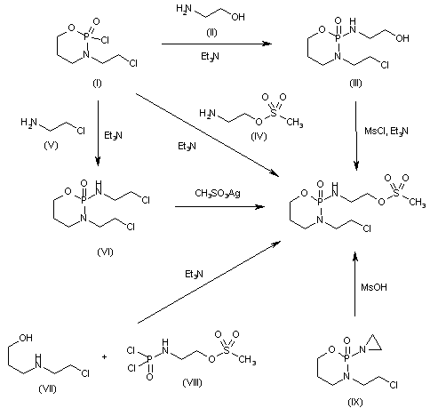
It can be prepared in several different ways: 1) By condensation of (I) with ethanolamine (II) by means of triethylamine in dioxane that gives 2-(2-hydroxyethylamino)-3-(2-chloroethyl)tetrahydro-2H-1,3,2-oxazaphosphorine-2-oxide (III), which is then esterified with methanesulfonyl chloride and triethylamine in dioxane. (1,2) 2) By condensation of 2-chloro-3-(2-chloroethyl)tetrahydro-2H-1,3,2-oxazaphosphorine-2-oxide (I) with 2-(methylsulfonyloxy)ethylamine by means of triethylamine (IV) in CH2Cl2. (1,2) 3) By condensation of (I) with 2-chloroethylamine (V) by means of triethylamine in CH2Cl2 that gives 2-(2-chloroethylamino)-3-(2-chloroethyl)tetrahydro-2H-1,3,2-oxazaphosphorine-2-oxide (VI), which is then transformed into the ester by means of silver methanesulfonate in refluxing acetonitrile. (1,2) 4) By cyclization at N-(3-hydroxypropyl)-2-chloroethylamine (VII) with N-(2-methylsulfonyl-oxyethyl)dichlorophosphoramide (VIII) by means of triethylamine in CH2Cl2. (1,2) 5) By mesylation of 2-(ethyleneimino)-3-(2-chloroethyl)tetrahydro-2H-1,3,2-oxaza-phosphorine-2-oxide (IX) with methanesulfonic acid in ethyl ether. (1,2)

参考文献No.900205
标题:
作者:Arnold, H.; et al. (Asta-Werke A.G.)
来源:DE 2107936
合成路线图解说明:

It can be prepared in several different ways: 1) By condensation of (I) with ethanolamine (II) by means of triethylamine in dioxane that gives 2-(2-hydroxyethylamino)-3-(2-chloroethyl)tetrahydro-2H-1,3,2-oxazaphosphorine-2-oxide (III), which is then esterified with methanesulfonyl chloride and triethylamine in dioxane. (1,2) 2) By condensation of 2-chloro-3-(2-chloroethyl)tetrahydro-2H-1,3,2-oxazaphosphorine-2-oxide (I) with 2-(methylsulfonyloxy)ethylamine by means of triethylamine (IV) in CH2Cl2. (1,2) 3) By condensation of (I) with 2-chloroethylamine (V) by means of triethylamine in CH2Cl2 that gives 2-(2-chloroethylamino)-3-(2-chloroethyl)tetrahydro-2H-1,3,2-oxazaphosphorine-2-oxide (VI), which is then transformed into the ester by means of silver methanesulfonate in refluxing acetonitrile. (1,2) 4) By cyclization at N-(3-hydroxypropyl)-2-chloroethylamine (VII) with N-(2-methylsulfonyl-oxyethyl)dichlorophosphoramide (VIII) by means of triethylamine in CH2Cl2. (1,2) 5) By mesylation of 2-(ethyleneimino)-3-(2-chloroethyl)tetrahydro-2H-1,3,2-oxaza-phosphorine-2-oxide (IX) with methanesulfonic acid in ethyl ether. (1,2)

参考文献No.900206
标题:
作者:(Asta-Werke A.G.)
来源:FR 2125595
合成路线图解说明:

It can be prepared in several different ways: 1) By condensation of (I) with ethanolamine (II) by means of triethylamine in dioxane that gives 2-(2-hydroxyethylamino)-3-(2-chloroethyl)tetrahydro-2H-1,3,2-oxazaphosphorine-2-oxide (III), which is then esterified with methanesulfonyl chloride and triethylamine in dioxane. (1,2) 2) By condensation of 2-chloro-3-(2-chloroethyl)tetrahydro-2H-1,3,2-oxazaphosphorine-2-oxide (I) with 2-(methylsulfonyloxy)ethylamine by means of triethylamine (IV) in CH2Cl2. (1,2) 3) By condensation of (I) with 2-chloroethylamine (V) by means of triethylamine in CH2Cl2 that gives 2-(2-chloroethylamino)-3-(2-chloroethyl)tetrahydro-2H-1,3,2-oxazaphosphorine-2-oxide (VI), which is then transformed into the ester by means of silver methanesulfonate in refluxing acetonitrile. (1,2) 4) By cyclization at N-(3-hydroxypropyl)-2-chloroethylamine (VII) with N-(2-methylsulfonyl-oxyethyl)dichlorophosphoramide (VIII) by means of triethylamine in CH2Cl2. (1,2) 5) By mesylation of 2-(ethyleneimino)-3-(2-chloroethyl)tetrahydro-2H-1,3,2-oxaza-phosphorine-2-oxide (IX) with methanesulfonic acid in ethyl ether. (1,2)

Drug Information Express,Drug R&D,Chemical Database,Patent Search.
Copyright © 2006-2026 Drug Future. All rights reserved.Contact Us