【药物名称】
化学结构式(Chemical Structure):
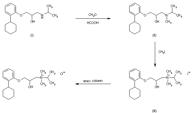
参考文献No.51285
标题:Non-calcemic, antiproliferative, transcriptionally active sulfur-containing analogs of 1alpha,25-dihydroxyvitamin D3
作者:Lee, J.K.; Crawford, K.R.; Wang, Q.; Posner, G.H.; Han, G. (Johns Hopkins University)
来源:US 6380408; WO 0059513
合成路线图解说明:

Reaction of 1-isopropylamino-3-(3-cyclohexylphenoxy)-2-propanol (I) (exaprolol) with formaldehyde and formic acid affords the N-methyl derivative (II), which is subsequently quaternized by methyliodide. The iodide (III) is then converted to the chloride on an anex column.

合成路线图解说明:

The intermediate phosphonate (XXI) has been obtained as follows: The reaction of tert-butyl mercaptan (XV) with allyl bromide (XVI) by means of NaOH in ethanol gives the sulfide (XVII), which is oxidized with Oxone in methanol/water to yield the sulfone (XVIII). The bromination of (XVIII) with Br2 in CCl4 followed by dehydrobromination with TEA affords the bromosulfone (XIX), which is finally condensed with tributyl phosphite (XX) by heating at 130 C to provide the target intermediate phosphonate (XXI). The silylation of the known diol (XXII) (obtained by degradation of vitamin D2) with Tes-OTf and lutidine gives the bis silyl ether (XXIII), which is submitted to a Swern oxidation ((COCl)2), yielding the carbaldehyde (XXIV). The Wadsworth-Emmons condensation of aldehyde (XXIV) with the intermediate phosphonate (XXI) by means of tBu-OLi affords the diinsaturated sulfone (XXV), which is desilylated with HF in THF to provide the alcohol (XXVI). The oxidation of (XXVI) with TPAP and NMO furnishes the ketone (XXVII), which is submitted to a Wittig-Horner condensation with the intermediate phosphine oxide (XIV) by means of PhLi, giving the silylated precursor (XXVIII). Finally, this compound is desilylated with HF in ethanol to afford the target vitamin D3 analogue.

参考文献No.634159
标题:A non-calcemic sulfone version of the vitamin D3 analogue seocalcitol (EB 1089): Chemical synthesis, biological evaluation and potency enhancement of the anticancer drug adriamycin
作者:Posner, G.H.; Crawford, K.R.; Peleg, S.; Welsh, J.E.; Romu, S.; Gewirtz, D.A.; Gupta, M.S.; Dolan, P.; Kensler, T.W.
来源:Bioorg Med Chem 2001,9(9),2365
合成路线图解说明:

The intermediate phosphonate (XXI) has been obtained as follows: The reaction of tert-butyl mercaptan (XV) with allyl bromide (XVI) by means of NaOH in ethanol gives the sulfide (XVII), which is oxidized with Oxone in methanol/water to yield the sulfone (XVIII). The bromination of (XVIII) with Br2 in CCl4 followed by dehydrobromination with TEA affords the bromosulfone (XIX), which is finally condensed with tributyl phosphite (XX) by heating at 130 C to provide the target intermediate phosphonate (XXI). The silylation of the known diol (XXII) (obtained by degradation of vitamin D2) with Tes-OTf and lutidine gives the bis silyl ether (XXIII), which is submitted to a Swern oxidation ((COCl)2), yielding the carbaldehyde (XXIV). The Wadsworth-Emmons condensation of aldehyde (XXIV) with the intermediate phosphonate (XXI) by means of tBu-OLi affords the diinsaturated sulfone (XXV), which is desilylated with HF in THF to provide the alcohol (XXVI). The oxidation of (XXVI) with TPAP and NMO furnishes the ketone (XXVII), which is submitted to a Wittig-Horner condensation with the intermediate phosphine oxide (XIV) by means of PhLi, giving the silylated precursor (XXVIII). Finally, this compound is desilylated with HF in ethanol to afford the target vitamin D3 analogue.

参考文献No.661202
标题:Efficient and versatile synthesis of A-ring precursors of 1alpha,25-dihydroxyvitamin D3 and analogues. Application to the synthesis of Lythgoe-Roche phosphine oxide
作者:Mouri駉, A.; et al.
来源:Tetrahedron Lett 1997,38(26),4713
合成路线图解说明:

Synthesis of phosphine oxide (XIV): Epoxidation of l-carvone (I) with H2O2 and LiOH in methanol gives the epoxide (II), which is reduced with L-Selectride in THF to yield the alcohol (III). Oxidation of the isopropenyl group of (III) with OsO4, KIO4, MCPBA and HOAc affords the acetate (IV), which is hydrolyzed to the diol (V) with MeONa in methanol. Protection of the two OH groups of (V) with TBDMS-Cl and imidazole provides the bis-silyl ether (VI), which is oxidized with periodic acid in ethyl ether to give the aldehyde (VII). Compound (VII) is submitted to a Wittig condensation with CBr4, PPh3 and Zn in dichloromethane to yield the dibromovinyl compound (VIII), which is converted into the acetylenic vinyl triflate (X) by treatment with LDA in THF followed by the triflic imide (IX). Cyclization of triflate (X) by means of Pd(OAc)2 and PPh3, followed by carbonylation with CO in methanol provides the methyl ester (XI) as a 2:1 mixture of the Z- and E-isomers. Photoisomerization of this mixture (XIa-b) under the Hoffman-La Roche conditions (presence of 9-fluorenone) gives the Z-isomer (XII) in a high yield. Reduction of ester (XII) with DIBAL in toluene provides the primary alcohol (XIII), which is finally converted into the phosphine oxide (XIV) by known methods.

合成路线图解说明:

The intermediate phosphine oxide (XIV) has been obtained as follows: The epoxidation of l-carvone (I) with H2O2 and LiOH in methanol gives the epoxide (II), which is reduced with L-Selectride in THF to yield the alcohol (III). The oxidation of the isopropenyl group of (III) with OsO4, KIO4, MCPBA and HOAc affords the acetate (IV), which is hydrolyzed to the diol (V) with NaOMe in methanol. The protection of the two OH groups of (V) with Tbdms-Cl and imidazole provides the bis-silyl ether (VI), which is oxidized with periodic acid in ethyl ether to give the ketoaldehyde (VII). The aldehyde group of (VII) is subjected to a Wittig condensation with CBr4, PPh3 and Zn in dichloromethane to yield the dibromovinyl compound (VIII), which by treatment with LDA and the triflic imide (IX) in THF affords the acetylenic vinyl triflate (X). The cyclization of (X) by means of Pd(OAc)2 and PPH3, followed by carbonylation in methanol, provides the methyl ester (XI) as a 2:1 mixture of the (Z)- and (E)-isomers. The photoisomerization of this mixture under the Hoffmann-La Roche conditions (presence of 9-fluorenone) gives a high yield of the (Z)-isomer (XII), which is reduced with DIBAL in toluene to give the primary alcohol (XIII). Finally, this compound is converted into the target phosphine oxide (XIV) is performed by known methods.

参考文献No.661204
标题:A new approach to the synthesis of the 25-hydroxy-22-oxa-vitamin D3 side chain
作者:Fall, Y.
来源:Tetrahedron Lett 1997,38(27),4909
合成路线图解说明:

Synthesis of ketone (XXIV): Reaction of the known diol (XV) ?obtained by degradation of vitamin D2 ?with TsOH in pyridine gives, regioselectively, the monotosylate (XVI), which is protected at the secondary OH group by silylation with TBDMS-Cl and imidazole to yield the silyl ether (XVII). Oxidation of the tosyloxy group of (XVII) with O2 and t-BuOK in DMSO/t-BuOH affords ketone (XVIII), which is reduced with K and i-PrOH providing alcohol (XIX). Condensation of compound (XIX) with ethyl prop-ynoate (XX) by means of NMM in benzene gives the alkoxyacrylate (XXI), which is reduced with H2 over Pd/C in EtOH to yield the alkoxypropionate (XXII). Deprotection of the OH group of (XXII) with HF in acetonitrile affords alcohol (XXIII), which is oxidized with pyridinium dichromate (PDC) in CH2Cl2 providing ketone (XXIV). Wittig-Horner condensation of ketone (XXIV) with phosphine oxide (XIV) by means of BuLi in THF yields the corresponding adduct (XXV), which is submitted to a Grignard reaction with MeLi in THF to give the protected maxacalcitol precursor (XXVI). Finally, this compound is desilylated by means of TBAF in THF.

合成路线图解说明:

The intermediate phosphonate (XXI) has been obtained as follows: The reaction of tert-butyl mercaptan (XV) with allyl bromide (XVI) by means of NaOH in ethanol gives the sulfide (XVII), which is oxidized with Oxone in methanol/water to yield the sulfone (XVIII). The bromination of (XVIII) with Br2 in CCl4 followed by dehydrobromination with TEA affords the bromosulfone (XIX), which is finally condensed with tributyl phosphite (XX) by heating at 130 C to provide the target intermediate phosphonate (XXI). The silylation of the known diol (XXII) (obtained by degradation of vitamin D2) with Tes-OTf and lutidine gives the bis silyl ether (XXIII), which is submitted to a Swern oxidation ((COCl)2), yielding the carbaldehyde (XXIV). The Wadsworth-Emmons condensation of aldehyde (XXIV) with the intermediate phosphonate (XXI) by means of tBu-OLi affords the diinsaturated sulfone (XXV), which is desilylated with HF in THF to provide the alcohol (XXVI). The oxidation of (XXVI) with TPAP and NMO furnishes the ketone (XXVII), which is submitted to a Wittig-Horner condensation with the intermediate phosphine oxide (XIV) by means of PhLi, giving the silylated precursor (XXVIII). Finally, this compound is desilylated with HF in ethanol to afford the target vitamin D3 analogue.

Drug Information Express,Drug R&D,Chemical Database,Patent Search.
Copyright © 2006-2026 Drug Future. All rights reserved.Contact Us