【药物名称】KR-31378
化学结构式(Chemical Structure):
参考文献No.50966
标题:Benzopyranyl guanidine derivs., process for preparation thereof, and pharmaceutical compsns. containing them
作者:Jang, D.S.; Kim, S.-O.; Hwang, S.K.; Suh, J.H.; Park, Y.S.; Lee, B.H.; Lee, S.K.; Seo, H.W.; Yi, K.-Y.; Lim, H.; Namkoog, M.A.; Cho, I.S.; Kim, N.-J.; et al. (Dongbu Hannong Chemical Co. Ltd.; Korea Research Institute of Chemical Technology)
来源:US 6323238; WO 0129023
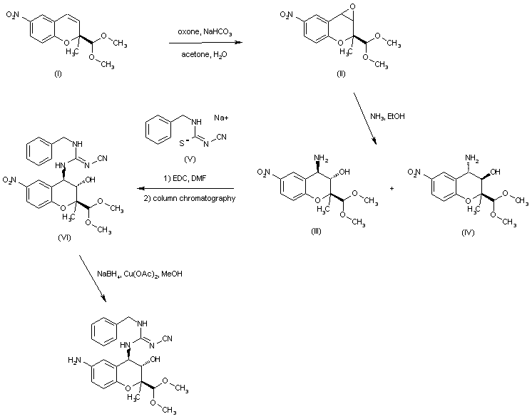
合成路线图解说明:

Epoxidation of the chiral benzopyran derivative (I) by means of oxone furnished the diastereomeric epoxides (II). Subsequent epoxide ring opening with ethanolic ammonia gave rise to the mixture of amino alcohols (III) and (IV). Condensation of this mixture with N-cyano-N'-benzylthiourea sodium salt (V) in the presence of EDC produced the corresponding mixture of guanidines from which the target (2S,3S,4R)-isomer (VI) was isolated by column chromatography. Finally, reduction of the nitro group of (VI) to the desired amine was accomplished by treatment with NaBH4 in the presence of cupric acetate.

参考文献No.641465
标题:A novel anti-ischemic ATP-sensitive potassium channel (KATP) opener without vasorelaxation: N-(6-aminobenzopyranyl)-N-benzyl-N'-cyanoguanidine analogue
作者:Yoo, S.; Yi, K.Y.; Lee, S.; Suh, J.T.; Kim, N.H.; Lee, B.H.; Seo, H.W.; Kim, S.O.; Lee, D.H.S.; Lim, H.-J.; Shin, H.S.
来源:J Med Chem 2001,44(24),4207
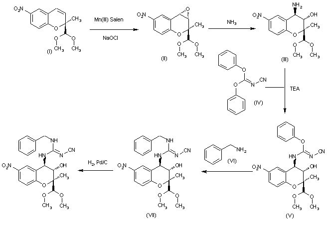
合成路线图解说明:

The asymmetric epoxidation of (R)-2-methyl-6-nitro-2H-1-benzopyran-2-carbaldehyde (I) with NaOCl catalyzed by the chiral catalyst Mn(III)-Salen gives the chiral epoxide (II), which is opened by means of NH3 in hot ethanol to yield the amino alcohol (III). The reaction of (III) with diphenylcyanocarbonimidate (IV) by means of TEA in DMF/isopropanol affords the N-cyano-O-phenylisourea (V), which by reaction with benzylamine (VI) in the same solvent provides the N-cyanoguanidine (VII). Finally, the nitro group of this compound is reduced with H2 over Pd/C or NaBH4 in methanol to give the target amino derivative.

Drug Information Express,Drug R&D,Chemical Database,Patent Search.
Copyright © 2006-2026 Drug Future. All rights reserved.Contact Us