【药物名称】Calebin A
化学结构式(Chemical Structure):
参考文献No.51072
标题:Pharmaceutical compsns. useful in the prevention and treatment of beta-amyloid protein-induced disease
作者:Kim, D.S.H.L. (University of Illinois)
来源:WO 0130335
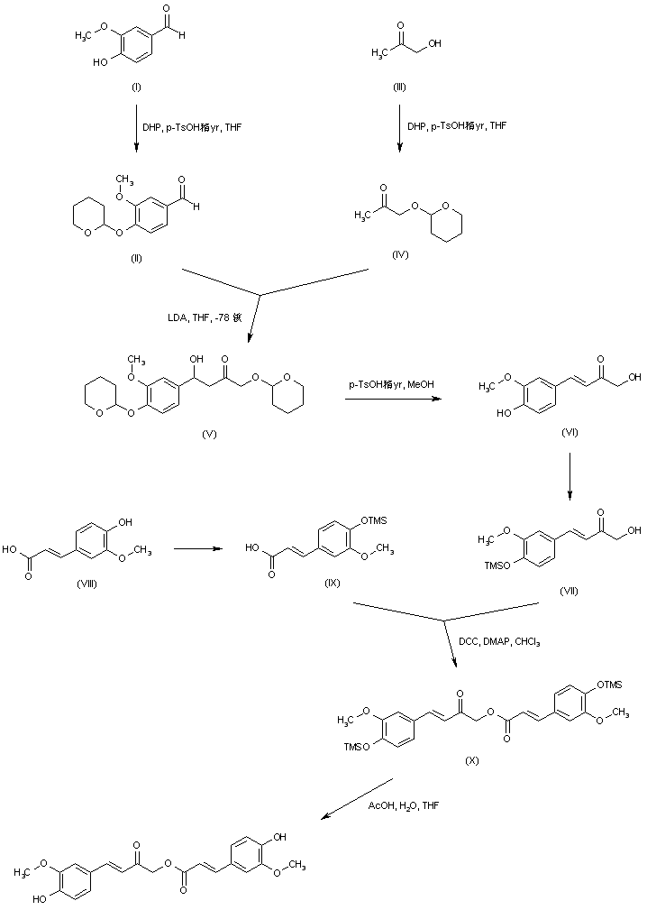
合成路线图解说明:

Vanillin (I) was protected as the tetrahydropyranyl ether (II) by treatment with dihydropyran in the presence of pyridinium p-toluenesulfonate. Similarly, hydroxyacetone (III) was converted to the corresponding tetrahydropyranyl ether (IV). Aldol condensation between aldehyde (II) and ketone (IV) using LDA in cold THF furnished the hydroxy ketone (V). Removal of the tetrahydropyranyl protecting groups of (V) under acidic conditions caused the dehydration of the beta-hydroxyl group, affording the unsaturated ketone (VI). The phenolic hydroxyl group of (VI) was then protected as the trimethylsilyl ether (VII). After protection of the phenolic hydroxyl group of ferulic acid (VIII) as the silyl ether (IX), coupling between (IX) and (VII) by means of DCC and DMAP provided the silyl-protected ester (X). This was finally desilylated by treatment with HOAc in aqueous THF.

参考文献No.634147
标题:Total synthesis of calebin-A, preparation of its analogues, and their neuronal cell protectivity against beta-amyloid insult
作者:Kim, J.Y.; Kim, D.S.H.L.
来源:Bioorg Med Chem Lett 2001,11(18),2541
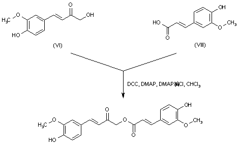
合成路线图解说明:

A more direct procedure for the preparation of the title ester has been reported, consisting in coupling unprotected acid (VIII) with keto alcohol (VI) by means of DCC in the presence of DMAP and DMAP-hydrochloride.

Drug Information Express,Drug R&D,Chemical Database,Patent Search.
Copyright © 2006-2026 Drug Future. All rights reserved.Contact Us