【药物名称】FAUC-179
化学结构式(Chemical Structure):
参考文献No.634148
标题:Benzamide bioisosteres incorporating dihydroheteroazole substructures: EPC synthesis and SAR leading to a selective dopamine D4 receptor partial agonist (FAUC 179)
作者:Einsiedel, J.; Hubner, H.; Gmeine,r P.
来源:Bioorg Med Chem Lett 2001,11(18),2533
合成路线图解说明:

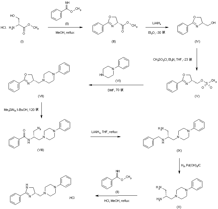
Cyclization of (R)-serine methyl ester (I) with methyl benzimidate (II) gave oxazolidine (III). Reduction of the methyl ester function of (III) with LiAlH4 at low temperature afforded the hydroxymethyl derivative (IV), which was further activated as the mesylate (V). Displacement of the mesylate group of (V) with phenylpiperazine (VI) resulted in the formation of the disubstituted piperazine (VII). Nucleophilic ring opening of oxazolidine (VII) by azidotrimethylsilane yielded azide (VIII). Both the amide and azide functions of (VIII) were subsequently reduced with LiAlH4 to produce (IX). Hydrogenolysis of the benzyl amine (IX) over Pearlman抯 catalyst furnished the chiral ethylenediamine (X). The title imidazoline was finally obtained by cyclization of diamine (X) with methyl benzimidate (II) as its hydrochloride form in refluxing MeOH.

Drug Information Express,Drug R&D,Chemical Database,Patent Search.
Copyright © 2006-2026 Drug Future. All rights reserved.Contact Us