【药物名称】
化学结构式(Chemical Structure):
参考文献No.634145
标题:Bicyclic anti-VZV nucleosides: Thieno analogues retain full antiviral activity
作者:Brancale, A.; McGuigan, C.; Algain, B.; Savy, P.; Benhida, R.; Fourrey, J.L.; Andrei, G.; Snoeck, R.; De clercq, E.; Balzarini, J.
来源:Bioorg Med Chem Lett 2001,11(18),2507
合成路线图解说明:

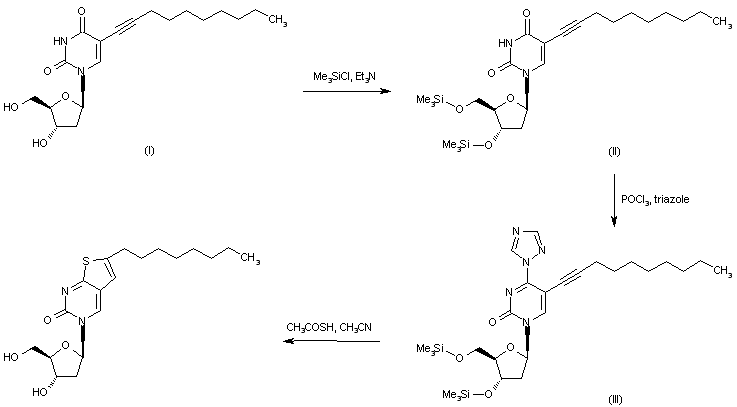
The known 5-decynyl-2'-deoxyuridine (I) was protected as the bis-silyl ether (II) with chlorotrimethylsilane and triethylamine. Treatment of (II) with POCl3 and triazole produced the triazolyl derivative (III). Finally, reaction of (III) with thioacetic acid gave rise to the desired thienopyrimidine.

合成路线图解说明:

In another synthetic route, the starting 3',5'-di-O-acetyl-5-iodo-2'-deoxyuridine (IV) was converted to the corresponding 4-thio derivative (V) upon treatment with P2S5. This was S-methylated with iodomethane and triethylamine to give the 4-methylthio pyrimidinone (VI). Palladium-catalyzed coupling of this 5-iodopyrimidine (VI) with 1-decyne (VII) furnished the 5-decynyl nucleoside (VIII). Removal of the methylthio group with NaSH in DMF gave directly the cyclized thienopyrimidine (IX). The remaining acetate esters were finally hydrolyzed by treatment with a methanolic solution of ammonium hydroxide.

Drug Information Express,Drug R&D,Chemical Database,Patent Search.
Copyright © 2006-2026 Drug Future. All rights reserved.Contact Us