【药物名称】Botiacrine, DMA
化学结构式(Chemical Structure):
参考文献No.803972
标题:Botiacrine
作者:Casta馿r, J.; Hopkins, S.J.
来源:Drugs Fut 1978,3(1),16
合成路线图解说明:

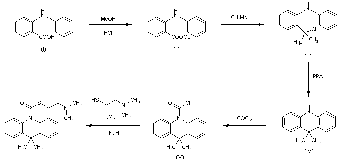
The esterification of N-phenylanthranilic acid (I) with methanol and HCl yields the corresponding methyl ester (II), which by a Grignard reaction with methylmagnesium iodide in THF is converted into 2-anilinophenyl dimethyl carbinol (III). The cyclization of (III) with polyphosphoric acid at 170 C affords 9,9-dimethylacridan (IV), which by carbonylation with phosgene in refluxing toluene yields 9,9-dimethylacridan-10-carbonyl chloride (V) (1). Finally this compound is esterified with 2-dimethylaminoethanethiol (VI) by means of NaH in ether

参考文献No.803973
标题:Synthesis of 9,9-dialkylacridans substituted at position 10
作者:Molnar, I.; Wagner-Jauregg, T.
来源:Helv Chim Acta 1965,48(7),1782
合成路线图解说明:

The esterification of N-phenylanthranilic acid (I) with methanol and HCl yields the corresponding methyl ester (II), which by a Grignard reaction with methylmagnesium iodide in THF is converted into 2-anilinophenyl dimethyl carbinol (III). The cyclization of (III) with polyphosphoric acid at 170 C affords 9,9-dimethylacridan (IV), which by carbonylation with phosgene in refluxing toluene yields 9,9-dimethylacridan-10-carbonyl chloride (V) (1). Finally this compound is esterified with 2-dimethylaminoethanethiol (VI) by means of NaH in ether

参考文献No.900208
标题:
作者:(Siegfried Aktiengesellschaft)
来源:DE 2161700; FR 2118100; GB 1335728
合成路线图解说明:

The esterification of N-phenylanthranilic acid (I) with methanol and HCl yields the corresponding methyl ester (II), which by a Grignard reaction with methylmagnesium iodide in THF is converted into 2-anilinophenyl dimethyl carbinol (III). The cyclization of (III) with polyphosphoric acid at 170 C affords 9,9-dimethylacridan (IV), which by carbonylation with phosgene in refluxing toluene yields 9,9-dimethylacridan-10-carbonyl chloride (V) (1). Finally this compound is esterified with 2-dimethylaminoethanethiol (VI) by means of NaH in ether

参考文献No.900209
标题:
作者:Molnar, I.; et al. (Siegfried Aktiengesellschaft)
来源:US 3830918
合成路线图解说明:

The esterification of N-phenylanthranilic acid (I) with methanol and HCl yields the corresponding methyl ester (II), which by a Grignard reaction with methylmagnesium iodide in THF is converted into 2-anilinophenyl dimethyl carbinol (III). The cyclization of (III) with polyphosphoric acid at 170 C affords 9,9-dimethylacridan (IV), which by carbonylation with phosgene in refluxing toluene yields 9,9-dimethylacridan-10-carbonyl chloride (V) (1). Finally this compound is esterified with 2-dimethylaminoethanethiol (VI) by means of NaH in ether

Drug Information Express,Drug R&D,Chemical Database,Patent Search.
Copyright © 2006-2026 Drug Future. All rights reserved.Contact Us