【药物名称】Norzimelidine, Botiacrine, CPP-199, A-24356
化学结构式(Chemical Structure):
参考文献No.803977
标题:Nomelidine
作者:Blancafort, P.; Serradell, M.N.; Casta馿r, J.; Sweetman, A.J.
来源:Drugs Fut 1979,4(12),885
合成路线图解说明:

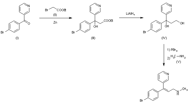
The condensation of 4-bromophenyl-3-pyridyl ketone (I) with ethyl bromoacetate (II) by means of Zn in refluxing benzene gives ethyl 3-hydroxy-3-(3-pyridyl)-3-(4-bromophenyl)propionate (III), which is reduced with LiAlH4 in refluxing ethyl ether yielding 1-(3-pyridyl)-1-(4-bromophenyl)propane-1,3-diol (IV). Finally this compound is treated first with PBr3 and HBr in refluxing acetone, and then with methylamine (V) at 110 C in a pressure vessel

合成路线图解说明:

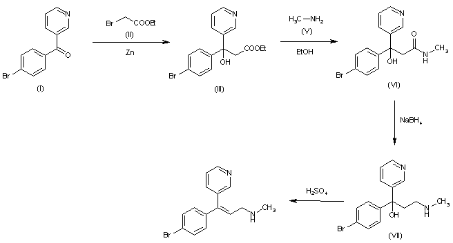
The condensation of 4-bromophenyl-3-pyridyl ketone (I) with ethyl bromoacetate (II) by means of Zn in refluxing benzene gives ethyl 3-hydroxy-3-(3-pyridyl)-3-(4-bromophenyl)propionate (III), which is converted into the corresponding methylamide (VI) by treatment with methylamine (V) in ethanol. This compound is reduced with NaBH4 in THF yielding 3-(3-pyridyl)-3-(4-bromophenyl)-3-hydroxy-N-methylpropylamine (VII), which is finally dehydrated by treatment with 50% H2SO4 at 110 C

参考文献No.900211
标题:
作者:Carlsson, P.A.E.; et al. (Astra L鋕emedel AB)
来源:BE 835802; DD 122528; DE 2550005; FR 2291751; JP 7676278; NL 7513648; ZA 7506893
合成路线图解说明:

The condensation of 4-bromophenyl-3-pyridyl ketone (I) with ethyl bromoacetate (II) by means of Zn in refluxing benzene gives ethyl 3-hydroxy-3-(3-pyridyl)-3-(4-bromophenyl)propionate (III), which is reduced with LiAlH4 in refluxing ethyl ether yielding 1-(3-pyridyl)-1-(4-bromophenyl)propane-1,3-diol (IV). Finally this compound is treated first with PBr3 and HBr in refluxing acetone, and then with methylamine (V) at 110 C in a pressure vessel

合成路线图解说明:

The condensation of 4-bromophenyl-3-pyridyl ketone (I) with ethyl bromoacetate (II) by means of Zn in refluxing benzene gives ethyl 3-hydroxy-3-(3-pyridyl)-3-(4-bromophenyl)propionate (III), which is converted into the corresponding methylamide (VI) by treatment with methylamine (V) in ethanol. This compound is reduced with NaBH4 in THF yielding 3-(3-pyridyl)-3-(4-bromophenyl)-3-hydroxy-N-methylpropylamine (VII), which is finally dehydrated by treatment with 50% H2SO4 at 110 C

Drug Information Express,Drug R&D,Chemical Database,Patent Search.
Copyright © 2006-2026 Drug Future. All rights reserved.Contact Us