【药物名称】Tiprenolol hydrochloride, DU-21445
化学结构式(Chemical Structure):
参考文献No.803976
标题:Tiprenolol hydrochloride
作者:Blancafort, P.; Serradell, M.N.; Casta馿r, J.; Weetman, D.F.
来源:Drugs Fut 1979,4(11),830
合成路线图解说明:

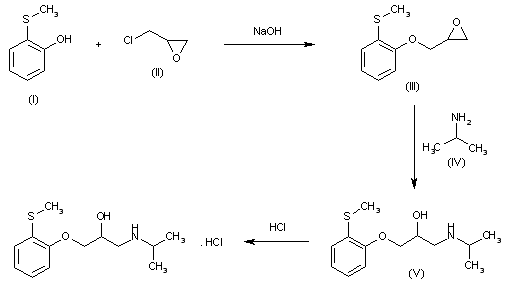
The condensation of o-(methylthio)phenol (I) with epichlorohydrin (II) by means of sodium hydroxide in water gives 3-[o-(methylthio)phenoxy]-1,2-epoxypropane (III), which is then treated with isopropylamine (IV) in hot water and finally with ethanolic HCl

参考文献No.900210
标题:
作者:(N.V. Philips' Gloeilampenfabrieken)
来源:BE 679005; CA 832495; DE 1543790; FR 1552786; FR 6393; GB 1137764; JP 6902978; NL 6504268; US 3542874; US 3632780
合成路线图解说明:

The condensation of o-(methylthio)phenol (I) with epichlorohydrin (II) by means of sodium hydroxide in water gives 3-[o-(methylthio)phenoxy]-1,2-epoxypropane (III), which is then treated with isopropylamine (IV) in hot water and finally with ethanolic HCl

Drug Information Express,Drug R&D,Chemical Database,Patent Search.
Copyright © 2006-2026 Drug Future. All rights reserved.Contact Us