【药物名称】
化学结构式(Chemical Structure):
参考文献No.634131
标题:The discovery of novel, potent and selective PDE5 inhibitors
作者:Bi, Y.; Stoy, P.; Adam, L.; He, B.; Krupinski, J.; Normandin, D.; Pongrac, R.; Seliger, L.; Watson, A.; Macor, J.E.
来源:Bioorg Med Chem Lett 2001,11(18),2461
合成路线图解说明:

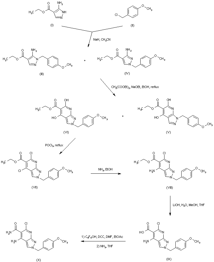
3-Amino-4-carbethoxypyrazole (I) was protected with p-methoxybenzyl chloride (II) in the presence of NaH to give two alkylated regioisomers (III) and (IV). This mixture was subjected to condensation with diethyl malonate under basic conditions to furnish the respective pyrazolopyridines (V) and (VI). Only isomer (VI) could be converted to its corresponding dichloro derivative (VII) under reflux in POCl3. Regioselective displacement of one chloride group from (VII) with ethanolic ammonia afforded amine (VIII). The ester group of (VIII) was then hydrolyzed by LiOH to the carboxylic acid (IX), which was converted to amide (X) via activation as the pentafluorophenyl ester.

合成路线图解说明:

The pyrazolopyridopyrimidine tricyclic system (XII) was generated by acylation of amine (X) with acid chloride (XI), followed by base-mediated cyclization. Displacement of the remaining chloride of (XII) with p-fluorobenzyl amine (XIII) afforded (XIV). The p-methoxybenzyl group of (XIV) was finally removed by treatment with trifluoroacetic acid yielding the title compound.

Drug Information Express,Drug R&D,Chemical Database,Patent Search.
Copyright © 2006-2026 Drug Future. All rights reserved.Contact Us