【药物名称】Ciproquazone, SL-573
化学结构式(Chemical Structure):
参考文献No.900434
标题:
作者:Yamamoto, M.; et al.
来源:JP 7608287; NL 7507921
合成路线图解说明:

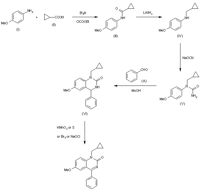
It can be prepared in several different ways: 1) The acylation of p-anisidine (I) with cyclopropanecarboxylic acid (II) by means of ethyl chloroformate and triethylamine gives N-cyclopropanecarbonyl-p-anisidine (III), which is reduced with LiAlH4 in THF yielding N-cyclopropylmethyl-p-anisidine (IV). The reaction of (IV) with sodium cyanate in acetic acid affords N-cyclopropylmethyl-N-(p-anisyl)urea (V), which is cyclized with benzaldehyde (A) by means of methanesulfonic acid in refluxing toluene giving 1-cyclopropylmethyl-4-phenyl-6-methoxy-3,4-dihydro-2(1H)-quinazolinone (VI) (1). Finally this product is dehydrogenated by oxidation with KMnO4 in dioxane - water (1), by treatment with Cl2 or Br2 with or without a base (2), or by treatment with sulfur in refluxing o-dichlorobenzene (3).

参考文献No.900435
标题:
作者:Yamamoto, M.; et al.
来源:DE 2656156
合成路线图解说明:

It can be prepared in several different ways: 1) The acylation of p-anisidine (I) with cyclopropanecarboxylic acid (II) by means of ethyl chloroformate and triethylamine gives N-cyclopropanecarbonyl-p-anisidine (III), which is reduced with LiAlH4 in THF yielding N-cyclopropylmethyl-p-anisidine (IV). The reaction of (IV) with sodium cyanate in acetic acid affords N-cyclopropylmethyl-N-(p-anisyl)urea (V), which is cyclized with benzaldehyde (A) by means of methanesulfonic acid in refluxing toluene giving 1-cyclopropylmethyl-4-phenyl-6-methoxy-3,4-dihydro-2(1H)-quinazolinone (VI) (1). Finally this product is dehydrogenated by oxidation with KMnO4 in dioxane - water (1), by treatment with Cl2 or Br2 with or without a base (2), or by treatment with sulfur in refluxing o-dichlorobenzene (3).

参考文献No.900436
标题:
作者:Yamamoto, M.; et al.
来源:AU 319919; DE 2159655; FR 2117301; GB 1353789; JP 7618423
合成路线图解说明:

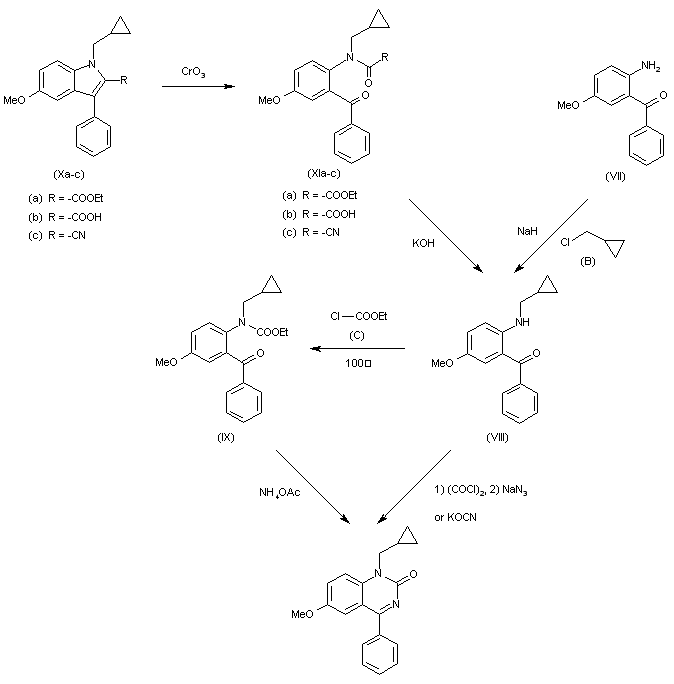
2) The alkylation of 2-amino-5-methoxybenzophenone (VII) with cyclopropylmethyl chloride (B) by means of NaH in THF gives 2-cyclopropylmethylamino-5-methoxybenzophenone (VIII), which by reaction with ethylchloroformate (C) at 100 C yields 2-(N-cyclopropylmethylethoxycarbonylamino)-5-methoxybenzophenone (IX). Finally this compound is cyclized with ammonium acetate and KOH in DMSO at 130 C (4). 3) The oxidation of 1-cyclopropylmethyl-3-phenyl-5-methoxyindole-2-carboxylic acid (2-carboxylic acid ethyl ester, or 2-carbonitrile) (Xa-c) with CrO3 in acetic acid - water gives 2-(N-cyclopropylmethyloxalylamino)-5-methoxybenzophenone (or ethoxalylamino or cyanocarbonylamino) (XIa-c), which can be hydrolyzed to the free amine (VIII) with KOH in DMSO - water (5). 4) The amine (VIII) can also be cyclized with potassium cyanate in hot acetic acid (5,6). 5) The amine (VIII) can also by cyclized by reaction with oxalyl chloride, followed by a treatment with sodium azide in acetone - water (7).

参考文献No.900437
标题:
作者:Inaba, S.; et al.
来源:DE 2037693; GB 1313789; JP 7227106; JP 7229516; JP 7229517; US 3712892; US 3767797
合成路线图解说明:

2) The alkylation of 2-amino-5-methoxybenzophenone (VII) with cyclopropylmethyl chloride (B) by means of NaH in THF gives 2-cyclopropylmethylamino-5-methoxybenzophenone (VIII), which by reaction with ethylchloroformate (C) at 100 C yields 2-(N-cyclopropylmethylethoxycarbonylamino)-5-methoxybenzophenone (IX). Finally this compound is cyclized with ammonium acetate and KOH in DMSO at 130 C (4). 3) The oxidation of 1-cyclopropylmethyl-3-phenyl-5-methoxyindole-2-carboxylic acid (2-carboxylic acid ethyl ester, or 2-carbonitrile) (Xa-c) with CrO3 in acetic acid - water gives 2-(N-cyclopropylmethyloxalylamino)-5-methoxybenzophenone (or ethoxalylamino or cyanocarbonylamino) (XIa-c), which can be hydrolyzed to the free amine (VIII) with KOH in DMSO - water (5). 4) The amine (VIII) can also be cyclized with potassium cyanate in hot acetic acid (5,6). 5) The amine (VIII) can also by cyclized by reaction with oxalyl chloride, followed by a treatment with sodium azide in acetone - water (7).

参考文献No.900438
标题:
作者:Inaba, S.; et al.
来源:ZA 7005270
合成路线图解说明:

2) The alkylation of 2-amino-5-methoxybenzophenone (VII) with cyclopropylmethyl chloride (B) by means of NaH in THF gives 2-cyclopropylmethylamino-5-methoxybenzophenone (VIII), which by reaction with ethylchloroformate (C) at 100 C yields 2-(N-cyclopropylmethylethoxycarbonylamino)-5-methoxybenzophenone (IX). Finally this compound is cyclized with ammonium acetate and KOH in DMSO at 130 C (4). 3) The oxidation of 1-cyclopropylmethyl-3-phenyl-5-methoxyindole-2-carboxylic acid (2-carboxylic acid ethyl ester, or 2-carbonitrile) (Xa-c) with CrO3 in acetic acid - water gives 2-(N-cyclopropylmethyloxalylamino)-5-methoxybenzophenone (or ethoxalylamino or cyanocarbonylamino) (XIa-c), which can be hydrolyzed to the free amine (VIII) with KOH in DMSO - water (5). 4) The amine (VIII) can also be cyclized with potassium cyanate in hot acetic acid (5,6). 5) The amine (VIII) can also by cyclized by reaction with oxalyl chloride, followed by a treatment with sodium azide in acetone - water (7).

参考文献No.900439
标题:
作者:Ishizumi, K.; et al.
来源:AU 330189; CA 949575; GB 1398448; JP 7445085; NL 7312257; US 3926993
合成路线图解说明:

2) The alkylation of 2-amino-5-methoxybenzophenone (VII) with cyclopropylmethyl chloride (B) by means of NaH in THF gives 2-cyclopropylmethylamino-5-methoxybenzophenone (VIII), which by reaction with ethylchloroformate (C) at 100 C yields 2-(N-cyclopropylmethylethoxycarbonylamino)-5-methoxybenzophenone (IX). Finally this compound is cyclized with ammonium acetate and KOH in DMSO at 130 C (4). 3) The oxidation of 1-cyclopropylmethyl-3-phenyl-5-methoxyindole-2-carboxylic acid (2-carboxylic acid ethyl ester, or 2-carbonitrile) (Xa-c) with CrO3 in acetic acid - water gives 2-(N-cyclopropylmethyloxalylamino)-5-methoxybenzophenone (or ethoxalylamino or cyanocarbonylamino) (XIa-c), which can be hydrolyzed to the free amine (VIII) with KOH in DMSO - water (5). 4) The amine (VIII) can also be cyclized with potassium cyanate in hot acetic acid (5,6). 5) The amine (VIII) can also by cyclized by reaction with oxalyl chloride, followed by a treatment with sodium azide in acetone - water (7).

参考文献No.950188
标题:Novel quinazoline derivatives.I. Synthesis and preliminary pharmacological evaluation of a antiinflamatory agent SL-573
作者:Komatsu, T.; et al.
来源:Arzneim-Forsch 1972,22(11),1958-1962
合成路线图解说明:

It can be prepared in several different ways: 1) The acylation of p-anisidine (I) with cyclopropanecarboxylic acid (II) by means of ethyl chloroformate and triethylamine gives N-cyclopropanecarbonyl-p-anisidine (III), which is reduced with LiAlH4 in THF yielding N-cyclopropylmethyl-p-anisidine (IV). The reaction of (IV) with sodium cyanate in acetic acid affords N-cyclopropylmethyl-N-(p-anisyl)urea (V), which is cyclized with benzaldehyde (A) by means of methanesulfonic acid in refluxing toluene giving 1-cyclopropylmethyl-4-phenyl-6-methoxy-3,4-dihydro-2(1H)-quinazolinone (VI) (1). Finally this product is dehydrogenated by oxidation with KMnO4 in dioxane - water (1), by treatment with Cl2 or Br2 with or without a base (2), or by treatment with sulfur in refluxing o-dichlorobenzene (3).

参考文献No.950189
标题:Ciproquazone
作者:Casta馿r, J.; Hillier, H.
来源:Drugs Fut 1978,3(12),871
合成路线图解说明:

It can be prepared in several different ways: 1) The acylation of p-anisidine (I) with cyclopropanecarboxylic acid (II) by means of ethyl chloroformate and triethylamine gives N-cyclopropanecarbonyl-p-anisidine (III), which is reduced with LiAlH4 in THF yielding N-cyclopropylmethyl-p-anisidine (IV). The reaction of (IV) with sodium cyanate in acetic acid affords N-cyclopropylmethyl-N-(p-anisyl)urea (V), which is cyclized with benzaldehyde (A) by means of methanesulfonic acid in refluxing toluene giving 1-cyclopropylmethyl-4-phenyl-6-methoxy-3,4-dihydro-2(1H)-quinazolinone (VI) (1). Finally this product is dehydrogenated by oxidation with KMnO4 in dioxane - water (1), by treatment with Cl2 or Br2 with or without a base (2), or by treatment with sulfur in refluxing o-dichlorobenzene (3).

合成路线图解说明:

2) The alkylation of 2-amino-5-methoxybenzophenone (VII) with cyclopropylmethyl chloride (B) by means of NaH in THF gives 2-cyclopropylmethylamino-5-methoxybenzophenone (VIII), which by reaction with ethylchloroformate (C) at 100 C yields 2-(N-cyclopropylmethylethoxycarbonylamino)-5-methoxybenzophenone (IX). Finally this compound is cyclized with ammonium acetate and KOH in DMSO at 130 C (4). 3) The oxidation of 1-cyclopropylmethyl-3-phenyl-5-methoxyindole-2-carboxylic acid (2-carboxylic acid ethyl ester, or 2-carbonitrile) (Xa-c) with CrO3 in acetic acid - water gives 2-(N-cyclopropylmethyloxalylamino)-5-methoxybenzophenone (or ethoxalylamino or cyanocarbonylamino) (XIa-c), which can be hydrolyzed to the free amine (VIII) with KOH in DMSO - water (5). 4) The amine (VIII) can also be cyclized with potassium cyanate in hot acetic acid (5,6). 5) The amine (VIII) can also by cyclized by reaction with oxalyl chloride, followed by a treatment with sodium azide in acetone - water (7).

Drug Information Express,Drug R&D,Chemical Database,Patent Search.
Copyright © 2006-2026 Drug Future. All rights reserved.Contact Us