【药物名称】Trepibutone, AA-149
化学结构式(Chemical Structure):
参考文献No.900428
标题:
作者:Murata, T.; et al.
来源:AU 319207; AU 319216; CA 997360; DE 2244324; FR 2154503; GB 1387733; JP 7334851; JP 7334852; JP 7375541; JP 7442635; JP 7442636; JP 7442637; JP 7442638; US 3943169; ZA 7205925
合成路线图解说明:

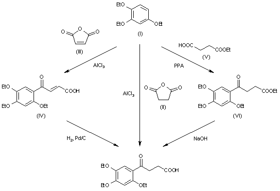
It can be prepared in four different ways: 1) By a Friedel-Crafts reaction of 1,2,4-triethoxybenzene (I) with succinic anhydride (II) by means of AlCl3 in tetrachloroethane (1). 2) The Friedel-Crafts reaction of (I) with maleic anhydride (III) by means of AlCl3 gives trans-3-(2,4,5-triethoxybenzoyl)acrylic acid (IV), which is then hydrogenated with H2 over Pd/C (2). 3) The condensation of (I) with succinic acid half ethyl ester (V) by means of polyphosphoric acid gives ethyl 3-(2,4,5-triethoxybenzoyl)propionate (VI), which is then hydrolyzed with NaOH (3).

参考文献No.900429
标题:
作者:
来源:AU 319215
合成路线图解说明:

It can be prepared in four different ways: 1) By a Friedel-Crafts reaction of 1,2,4-triethoxybenzene (I) with succinic anhydride (II) by means of AlCl3 in tetrachloroethane (1). 2) The Friedel-Crafts reaction of (I) with maleic anhydride (III) by means of AlCl3 gives trans-3-(2,4,5-triethoxybenzoyl)acrylic acid (IV), which is then hydrogenated with H2 over Pd/C (2). 3) The condensation of (I) with succinic acid half ethyl ester (V) by means of polyphosphoric acid gives ethyl 3-(2,4,5-triethoxybenzoyl)propionate (VI), which is then hydrolyzed with NaOH (3).

参考文献No.900430
标题:
作者:Murata, T.
来源:JP 7372151
合成路线图解说明:

It can be prepared in four different ways: 1) By a Friedel-Crafts reaction of 1,2,4-triethoxybenzene (I) with succinic anhydride (II) by means of AlCl3 in tetrachloroethane (1). 2) The Friedel-Crafts reaction of (I) with maleic anhydride (III) by means of AlCl3 gives trans-3-(2,4,5-triethoxybenzoyl)acrylic acid (IV), which is then hydrogenated with H2 over Pd/C (2). 3) The condensation of (I) with succinic acid half ethyl ester (V) by means of polyphosphoric acid gives ethyl 3-(2,4,5-triethoxybenzoyl)propionate (VI), which is then hydrolyzed with NaOH (3).

参考文献No.900431
标题:
作者:
来源:AU 321285
合成路线图解说明:

4) The condensation of 2,4,5-triethoxyphenacyl chloride (VII) with ethyl malonate (VIII) by means of NaOH gives diethyl 2,4,5-triethoxyphenacylmalonate (IX), which is finally hydrolyzed and decarboxylated in hot 30% H2SO4.

参考文献No.950186
标题:Trepibutone
作者:Sungurbey, K.
来源:Drugs Fut 1978,3(11),846
合成路线图解说明:

It can be prepared in four different ways: 1) By a Friedel-Crafts reaction of 1,2,4-triethoxybenzene (I) with succinic anhydride (II) by means of AlCl3 in tetrachloroethane (1). 2) The Friedel-Crafts reaction of (I) with maleic anhydride (III) by means of AlCl3 gives trans-3-(2,4,5-triethoxybenzoyl)acrylic acid (IV), which is then hydrogenated with H2 over Pd/C (2). 3) The condensation of (I) with succinic acid half ethyl ester (V) by means of polyphosphoric acid gives ethyl 3-(2,4,5-triethoxybenzoyl)propionate (VI), which is then hydrolyzed with NaOH (3).

合成路线图解说明:

4) The condensation of 2,4,5-triethoxyphenacyl chloride (VII) with ethyl malonate (VIII) by means of NaOH gives diethyl 2,4,5-triethoxyphenacylmalonate (IX), which is finally hydrolyzed and decarboxylated in hot 30% H2SO4.

Drug Information Express,Drug R&D,Chemical Database,Patent Search.
Copyright © 2006-2026 Drug Future. All rights reserved.Contact Us