【药物名称】Terbucromil, FPL-52791(Na salt)
化学结构式(Chemical Structure):
参考文献No.900425
标题:
作者:Cairns, H.; et al.
来源:AU 318612; AU 323160; AU 324329; CA 995229; DE 2142526; FR 2103489; GB 1368243; US 3786071; US 3952104; ZA 7105126
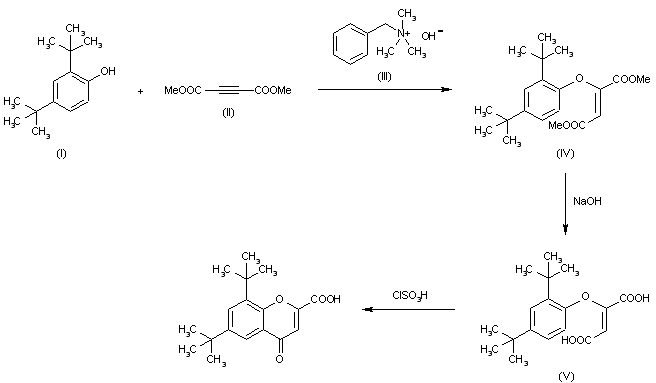
合成路线图解说明:

It can be prepared in two different ways: 1) The condensation of 2,4-di-tert-butylphenol (I) with dimethyl acetylenedicarboxylate (II) by means of benzyltrimethylammonium hydroxyde (III) gives 2,4-di-tert-butylphenoxyfumaric acid dimethyl ester (VI), which is hydrolyzed with NaOH in refluxing methanol - water yielding the corresponding acid (V). Finally this acid is cyclized by treatment with chlorosulfonic acid.

合成路线图解说明:

2) The Friedel-Crafts reaction of 2,4-di-tert-butylphenol (I) with acetic anhydride (VI) by means of BF3 gives 3,5-di-tert-butyl-2-hydroxyacetophenone (VII), which is cyclized with diethyl oxalate (VIII) by means of NaOEt in a refluxing mixture ethanol - ethyl ether to afford ethyl 6,8-di-tert-butyl-4-oxo-4H-1-benzopyran-2-carboxylate (IX) (1,2). Finally this compound is hydrolyzed with NaOH in ethanol (1).

参考文献No.900426
标题:
作者:Cairns, H.; et al.
来源:GB 1368244
合成路线图解说明:

It can be prepared in two different ways: 1) The condensation of 2,4-di-tert-butylphenol (I) with dimethyl acetylenedicarboxylate (II) by means of benzyltrimethylammonium hydroxyde (III) gives 2,4-di-tert-butylphenoxyfumaric acid dimethyl ester (VI), which is hydrolyzed with NaOH in refluxing methanol - water yielding the corresponding acid (V). Finally this acid is cyclized by treatment with chlorosulfonic acid.

合成路线图解说明:

2) The Friedel-Crafts reaction of 2,4-di-tert-butylphenol (I) with acetic anhydride (VI) by means of BF3 gives 3,5-di-tert-butyl-2-hydroxyacetophenone (VII), which is cyclized with diethyl oxalate (VIII) by means of NaOEt in a refluxing mixture ethanol - ethyl ether to afford ethyl 6,8-di-tert-butyl-4-oxo-4H-1-benzopyran-2-carboxylate (IX) (1,2). Finally this compound is hydrolyzed with NaOH in ethanol (1).

参考文献No.950184
标题:Terbucromil
作者:Casta馿r, J.; Church, M.K.
来源:Drugs Fut 1978,3(11),841
合成路线图解说明:

It can be prepared in two different ways: 1) The condensation of 2,4-di-tert-butylphenol (I) with dimethyl acetylenedicarboxylate (II) by means of benzyltrimethylammonium hydroxyde (III) gives 2,4-di-tert-butylphenoxyfumaric acid dimethyl ester (VI), which is hydrolyzed with NaOH in refluxing methanol - water yielding the corresponding acid (V). Finally this acid is cyclized by treatment with chlorosulfonic acid.

合成路线图解说明:

2) The Friedel-Crafts reaction of 2,4-di-tert-butylphenol (I) with acetic anhydride (VI) by means of BF3 gives 3,5-di-tert-butyl-2-hydroxyacetophenone (VII), which is cyclized with diethyl oxalate (VIII) by means of NaOEt in a refluxing mixture ethanol - ethyl ether to afford ethyl 6,8-di-tert-butyl-4-oxo-4H-1-benzopyran-2-carboxylate (IX) (1,2). Finally this compound is hydrolyzed with NaOH in ethanol (1).

Drug Information Express,Drug R&D,Chemical Database,Patent Search.
Copyright © 2006-2026 Drug Future. All rights reserved.Contact Us