【药物名称】Carfentanil, R-31833(citrate), R-33799
化学结构式(Chemical Structure):
参考文献No.604483
标题:Synthetic analgesics: N-(1-[2-arylethyl]-4-substituted-4-piperidinyl)-N-arylalkanamides
作者:Van Daele, P.G.H.; De Bruyn, M.F.; Boey, J.M.; Sanczuk, S.; Agten, J.T.; Janssen, P.A.
来源:Arzneim-Forsch Drug Res 1976,26(8),1521
合成路线图解说明:

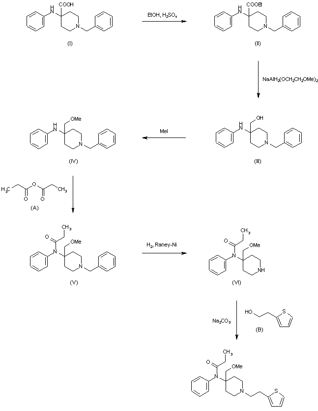
The esterification of 1-benzyl-4-(phenylamino)piperidine-4-carboxylic acid (I) with ethanol and H2SO4 gives the corresponding ethyl ester (II), which is reduced with LiAlH2(OCH2CH2OCH3)2 in benzene affording 1-benzyl-4-(phenylamino)piperidine-4-methanol (III) The methylation of (III) with methyl iodide and NaH in HMPA yields 1-benzyl-4-methoxymethyl-4-(phenylamino)piperidine (IV), which is refluxed with propionic anhydride (A) to give N-[4-(methoxymethyl)-1-benzyl-4-piperidyl]propionanilide (V). The hydrogenolysis of (V) with H2 over Raney-Ni in methanol yields N-[4-(methoxymethyl)-4-piperidyl]propionanilide (VI), which is finally condensed with 2-thiopheneethanol methanesulfonate (B) by means of Na2CO3 in methyl isobutyl ketone.

合成路线图解说明:

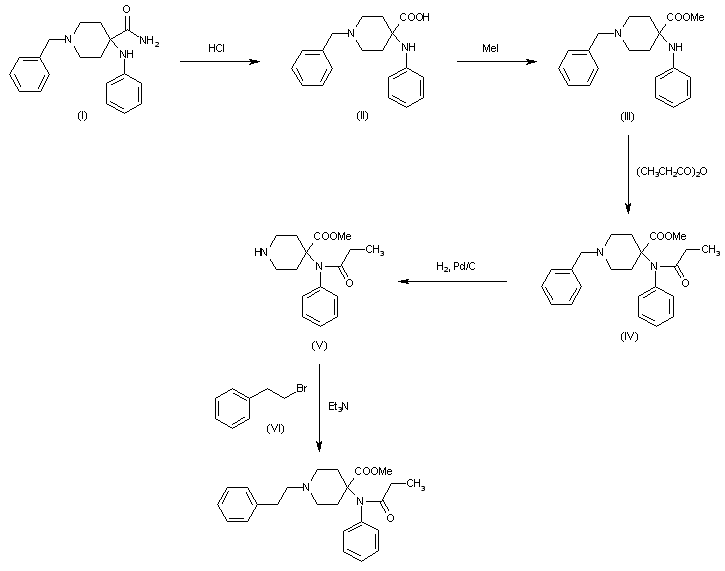
It can be prepared in two different ways: 1) The hydrolysis of 4-N-anilino-1-benzyl-4-carbamoylpiperidine (I) with refluxing concentrated HCl gives the corresponding acid (II), which is converted into its methyl ester (III) by reaction with NaOH and methyl iodide in HMPT (1). The acylation of (III) with propionic anhydride at reflux temperature affords methyl 4-(N-propionyl-N-phenylamino)-1-benzyl-4-piperidinecarboxylate (IV), which is debenzylated by hydrogenation with H2 over Pd/C in acetic acid yielding the free piperidine (V). Finally this compound is alkylated with (2-bromoethyl)benzene (VI) in hot DMA (2).

参考文献No.900423
标题:
作者:Janssen, P.A.J.
来源:BE 839480; FR 2303546; JP 76115478; NL 7602612; US 3998834
合成路线图解说明:

It can be prepared in two different ways: 1) The hydrolysis of 4-N-anilino-1-benzyl-4-carbamoylpiperidine (I) with refluxing concentrated HCl gives the corresponding acid (II), which is converted into its methyl ester (III) by reaction with NaOH and methyl iodide in HMPT (1). The acylation of (III) with propionic anhydride at reflux temperature affords methyl 4-(N-propionyl-N-phenylamino)-1-benzyl-4-piperidinecarboxylate (IV), which is debenzylated by hydrogenation with H2 over Pd/C in acetic acid yielding the free piperidine (V). Finally this compound is alkylated with (2-bromoethyl)benzene (VI) in hot DMA (2).

合成路线图解说明:

2) The reaction of 4-oxo-1-(2-phenylethyl)piperidine (VII) with KCN and aniline (VIII) in acetic acid gives 4-anilino-4-cyano-1-(2-phenylethyl)piperidine (IX), which is hydrolyzed with cool H2SO4 to the corresponding amide (X). This compound is hydrolyzed again with KOH in refluxing ethyleneglycol affording the free acid (XI), which is methylated to the methyl ester (XII) with NaOH and methyl iodide in HMPT. Finally this compound is acylated with propionic anhydride (XIII) at reflux temperature.

参考文献No.950179
标题:Carfentanil
作者:Casta馿r, J.; Paton, D.M.
来源:Drugs Fut 1978,3(11),800
合成路线图解说明:

It can be prepared in two different ways: 1) The hydrolysis of 4-N-anilino-1-benzyl-4-carbamoylpiperidine (I) with refluxing concentrated HCl gives the corresponding acid (II), which is converted into its methyl ester (III) by reaction with NaOH and methyl iodide in HMPT (1). The acylation of (III) with propionic anhydride at reflux temperature affords methyl 4-(N-propionyl-N-phenylamino)-1-benzyl-4-piperidinecarboxylate (IV), which is debenzylated by hydrogenation with H2 over Pd/C in acetic acid yielding the free piperidine (V). Finally this compound is alkylated with (2-bromoethyl)benzene (VI) in hot DMA (2).

合成路线图解说明:

2) The reaction of 4-oxo-1-(2-phenylethyl)piperidine (VII) with KCN and aniline (VIII) in acetic acid gives 4-anilino-4-cyano-1-(2-phenylethyl)piperidine (IX), which is hydrolyzed with cool H2SO4 to the corresponding amide (X). This compound is hydrolyzed again with KOH in refluxing ethyleneglycol affording the free acid (XI), which is methylated to the methyl ester (XII) with NaOH and methyl iodide in HMPT. Finally this compound is acylated with propionic anhydride (XIII) at reflux temperature.

Drug Information Express,Drug R&D,Chemical Database,Patent Search.
Copyright © 2006-2026 Drug Future. All rights reserved.Contact Us